Analysis of Real GDP Growth During the Pandemic Based on Developed and Developing Country Categories
Bestta Prima
Hartono 1
, Heru Prasadja 2 , Lamtiur Hasianna Tampubolon 3
1 Master
of Business Administration Program, Atma Jaya Catholic University, Indonesia
2, 3 Atma Jaya Catholic
University, Indonesia
|
|
ABSTRACT |
||
|
Economic growth during the COVID-19 pandemic has become the primary focus in establishing the sustainability and resilience of a country's economy. Economic disparities have also become more evident during this time. Nations with advanced technology can adapt more quickly, while others struggle to catch up. Economic growth serves as a reflection of resilience and adaptation amid sudden changes. Innovation, collaboration, and resilience are key factors in navigating challenges and building a strong economic foundation for the future. This research
will utilize the Real GDP Growth variable to understand how a country's
economy has grown during the COVID-19 pandemic. The study will categorize the
researched countries based on their classification as either developed or
developing nations. The period under examination spans from 2020 to 2022,
employing descriptive statistical methods. The data utilized in this study is
sourced from the International Monetary Fund (IMF) as a measurement of Real
GDP Growth. The objective of this research is to ascertain the real GDP
growth in developed and developing countries during the COVID-19 period
within the specified timeframe. |
|||
|
Received 18 May 2024 Accepted 23 June 2024 Published 17 July 2024 Corresponding Author Bestta Prima Hartono, bestta02@gmail.com DOI 10.29121/granthaalayah.v12.i6.2024.5694 Funding: This research
received no specific grant from any funding agency in the public, commercial,
or not-for-profit sectors. Copyright: © 2024 The
Author(s). This work is licensed under a Creative Commons
Attribution 4.0 International License. With the
license CC-BY, authors retain the copyright, allowing anyone to download,
reuse, re-print, modify, distribute, and/or copy their contribution. The work
must be properly attributed to its author.
|
|||
|
Keywords: Real GDP Growth, Covid-19, Economic
Growth |
|||
1. INTRODUCTION
Not only has the COVID-19 pandemic affected public health conditions, but it has also impacted the economic, educational, and social aspects of communities. Based on data gathered from the International Monetary Fund website, the number of individuals affected by COVID-19 has continued to rise from 2020 to 2022. Health institutions and governments have collaborated to prevent the spread of the COVID-19 virus, not only through health-based preventive measures but also by implementing restrictions on societal activities, including economic, educational, and social spheres. These limitations have consequential effects on a country's economic continuity, as the restricted activities of the populace significantly influence economic functions.
Economic growth during the COVID-19 pandemic has become the primary focus in establishing sustainability and resilience in a country's economy. Economic disparities have become increasingly apparent during this period. Nations equipped with advanced technology can adapt more swiftly, while others struggle to bridge the gap. Economic growth serves as a reflection of resilience and adaptation amid sudden changes. Innovation, collaboration, and resilience have emerged as primary factors in navigating challenges and constructing a robust economic foundation for the future.
This study will utilize the Real GDP Growth variable to understand how a country's economy has grown during the COVID-19 pandemic. The research will categorize the examined countries based on their classification as either developed or developing nations. This study encompasses the years 2020 to 2022, employing descriptive statistical methods. The data utilized in this study is sourced from the International Monetary Fund (IMF) as a measurement of Real GDP Growth.
The aim of this research is to ascertain the real GDP growth in developed and developing countries during the COVID-19 pandemic from 2020 to 2022. The intended benefits of this research include expanding the reference materials for students in the Master of Business Administration program at Atma Jaya University regarding research on real GDP growth during a pandemic based on the classification of developed and developing countries. Additionally, it aims to update knowledge about quantitative research methods and descriptive statistics. The practical significance of this research for society is to provide insights into real GDP growth during a pandemic, categorized by developed and developing countries. Furthermore, it seeks to contribute to the knowledge base and serve as a reference for future research with similar topics.
2. The Theory of Recession and Recovery
Recession is a condition characterized by a significant decline in overall economic activity within a specific region, marked by a contraction of the GDP for two consecutive quarters or more.
The National Bureau of Economic Research (NBER) explains that a recession is a downturn in economic activity lasting several months within the largest economy, typically reflected in the GDP, real income, business opportunities, manufacturing of goods and services, as well as wholesale trade and distribution channels.
Recessions are caused by various factors such as central bank monetary tightening, the impact of the conflict between Ukraine and Russia, China's zero-Covid policy, high inflation due to increased food and energy prices in several countries.
According to the IMF and World Bank, a global economic recession was predicted to occur in 2020. Overall, global economic growth was estimated to slow to minus 2.8 percent. Both institutions also projected an acceleration in global economic growth by 3 percent, but due to the COVID-19 pandemic, there was a drastic change in the global economic sector.
3. Economic Growth During the COVID-19 Pandemic
In Jinjin Mou (2020) titled "Research on the Impact of COVID-19 on Global Economy," it is asserted that compared to the major depression of 2008, the impact of COVID-19 on the global economy is more severe. For instance, in 2009, due to the economic crisis, the global GDP only decreased by 0.1%, whereas in 2020, the global economy plummeted by 3%. The economic growth of all countries listed experienced negative growth, except for China. COVID-19 had predominantly negative impacts on the economic growth of most countries. Global crises necessitate global collaboration and cooperation not only in health but also in trade, finance, and macroeconomic policies. Mou's research utilized data from the International Monetary Fund on Real GDP Growth and was conducted qualitatively.
The advantage of this paper, compared to others, lies in its comparison of COVID-19's impact on global GDP with the economic crisis of 2009. It also delves into the impacts of various industries to provide future mitigation measures. The paper presents suggestions to tackle the global economy in the wake of COVID-19. However, its weaknesses include analysing the impact of COVID-19 on the economies of only a few major countries and providing only a simplistic explanation of commodity trade from a macroscopic perspective.
In Purba (2022) titled "Analysis Driving Factors of Economic Growth During COVID-19 Pandemic: Indonesian Experiences," the study examines how much consumer spending, government expenditure, investment, and the influence of consumer spending are affected by the COVID-19 pandemic in Indonesia. It also explores the relaxation factors and their impact on the driving factors of economic growth during the pandemic. The research employed multiple regression methods using quarterly data from 2018 to 2020. The analysis methods used were exploratory and quantitative, using secondary data published by Bank Indonesia, BPS, SEKI, Bloomberg, IMF, and WHO. The findings revealed that the COVID-19 pandemic significantly and negatively affected consumer spending, investment, exports, and imports. The government initiated relaxations while adhering to health protocols and strict supervision to manage COVID-19 cases. These relaxation measures positively influenced consumer spending, government expenditure, and net exports but have not yet generated positive investment growth.
The third journal excels in providing a clear and detailed methodology. It employs regression models and presents regression results distinctly. However, its limitation lies in focusing solely on one country, Indonesia. The study could be more comprehensive if it explored the global economy.
Economic growth refers to the increase in the value and quantity of goods and services produced within a country over a specified period. It is measured by various indicators such as national income, per capita income, greater employment compared to unemployment, and a decrease in poverty rates. Economic growth also signifies a continuous process towards better economic conditions for a nation. A growing economy is characterized by economic activities directly contributing to the increased production of goods and services.
In this research, the author employs Real GDP Growth as a variable to measure the economic growth of countries worldwide. Real GDP Growth is expressed as a percentage indicating the rate of change in a country's GDP from one year to the next. The researcher uses Real GDP Growth instead of Nominal GDP Growth to account for inflation's impact on economic data.
What sets this research apart from previous studies is the utilization of Real GDP Growth as an economic indicator. This study employs samples from several countries with complete data regarding the variables used, covering the period from 2020 to 2022, based on their classifications.
4. Classification of Developed and Developing Countries
This research utilizes real GDP growth data from both developed and developing countries based on the country classification found in the World Economic Outlook available on the International Monetary Fund website. The classification divides the world into two broad groups: developed and developing countries. This classification aims to facilitate analysis by providing a meaningful method of organizing data. Some countries fall outside this classification and consequently are not included in the study.
5. RESEARCH METHOD
This research is a quantitative study using a descriptive method. According to Arikunto (2006), quantitative descriptive research aims to provide an objective portrayal or description of a situation using numerical data, starting from data collection, interpretation, presentation, and its outcomes.
As per Ghozali (2016), descriptive statistics are employed to explain or provide an overview of the characteristics of a set of data without drawing general conclusions. The presentation of descriptive statistical data by the researcher will be in the form of graphs and will involve descriptive analysis comprising measures such as mean, maximum value, minimum value, and standard deviation. The purpose of this descriptive analysis is to describe the secondary data obtained.
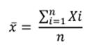
The formulas used to obtain the mean, minimum value, maximum value, and standard deviation are:
The Sample Mean
Formula

where:
𝑥̅ : sample mean
𝑋𝑖 : observation at position i
i : 1,2,3,….,n (denotes the individual observations)
n : total number of samples
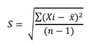
The Sample Standard Deviation Formula

where:
S :sample standard deviation
𝑋𝑖 :each individual observation
𝑥̅ : sample mean
n : total number of observation
The object utilized in this research is the analysis of real GDP growth of countries during the pandemic based on the classification of developed and developing nations, which serves as the sample in this study. The subject of this research is Real GDP Growth, serving as an indicator to observe the real GDP growth in the recorded countries.
6. Data Collection Method
This research utilizes annual secondary data sourced from the World Economic Outlook – Real GDP Growth as the measurement of Real GDP Growth.
The method employed in this study is quantitative with a descriptive approach. According to Sugiyono (2011), quantitative research uses specific populations or samples, collects data using research instruments, and analyses data quantitatively or statistically.
This study employs statistical datasets (annual secondary data) obtained from the International Monetary Fund as the measurement of Real GDP Growth. The secondary data used originates from the research sample spanning from 2020 to 2022, which provides complete datasets for each year.
The criteria for the data used in this research include complete real GDP growth data from 2020 to 2022, the classification of countries into developed and developing categories according to the World Economic Outlook website, and data from countries recognized as a whole, not just parts of countries. Firmansyah et al. (2023)
The research analyses the real GDP growth of countries using secondary data collected from the International Monetary Fund's website regarding Real GDP Growth. The analytical technique used is descriptive statistical analysis, which describes the characteristics of the data regarding the real GDP growth of developed and developing countries by utilizing the average secondary data from the selected countries. According to Sugiyono (2017), the descriptive approach is a method used to describe or analyse research findings but is not utilized to draw broad conclusions.
The sorted data will be utilized to create graphs aimed at illustrating patterns or trends within the data, providing a general overview of Real GDP Growth data that can represent the real GDP growth during the COVID-19 period. Rianda (2023)
7. RESULT AND DISCUSSION
In this study, the data on real GDP growth that met the research sample criteria consisted of 40 samples from developed countries and 152 samples from developing countries around the world.
The global economic growth, represented by the variable of real GDP growth, experienced a slowdown due to the presence of COVID-19.
Table 1
|
Table 1 The Table of Average Real GDP Growth for Developed and Developing Countries from 2019 To 2022 |
||||
|
2019 |
2020 |
2021 |
2022 |
|
|
Developed Countries |
2,34 |
-4,33 |
6,1 |
3,74 |
|
Developing Countries |
2,76 |
-4,66 |
5,11 |
4,18 |
Based on Table 1 above, it can be observed that both in developed and developing countries, the average growth in 2020 experienced a significant decrease compared to 2019. This was due to the global outbreak of COVID-19 in 2020, which was declared a pandemic.
Economic activity restrictions became a major factor contributing to this significant decline in economic growth due to limitations on public mobility, consequently reducing economic activities across various sectors.
Upon examining the calculated average values, it's evident that real GDP from 2019 to 2020 experienced a substantial decline. Conversely, from 2020 to 2021, there was a notable increase in both developed and developing countries. This might be attributed to the commencement of COVID-19 vaccine distribution, fostering a sense of optimism amid the uncertainties.
According to press release No.22/90/DKom on its website, Bank Indonesia (BI) expressed optimism regarding Indonesia's national economic recovery in 2021, emphasizing the need to strengthen synergy through several strategies. The five policy response strategies outlined include: 1) opening productive and secure sectors, 2) accelerating fiscal stimulus (budget realization), 3) boosting credit from demand and supply sides, 4) monetary stimulus and macro-prudential policies, and 5) economic and financial digitalization, particularly for SMEs. Bank Indonesia. (2020)
Economic growth from 2021 to 2022 experienced a decline when considering the average of real GDP, mainly due to increased inflation rates in many countries worldwide International Monetary Fund. (2022).
To comprehend the differences in the overall global economic growth among developed countries, here are the calculated values for the minimum, maximum, and standard deviation. These values are intended to provide an overview of the variables used in detail:
Table 2
|
Table 2 The Table of Minimum, Maximum, and Standard Deviation Values for the Sample of Developed Countries |
||||
|
2019 |
2020 |
2021 |
2022 |
|
|
Min |
-1,7 |
-11,3 |
0,2 |
-3,5 |
|
Max |
7 |
6,2 |
13,6 |
12 |
|
STDEV |
1,55 |
3,79 |
2,77 |
2,64 |
Table 3
|
Table 3 The Table of Minimum, Maximum, and Standard Deviation Values for the Sample of Developing Countries |
||||
|
2019 |
2020 |
2021 |
2022 |
|
|
Min |
-27,7 |
-33,4 |
-17,9 |
-30,3 |
|
Max |
43,5 |
41,7 |
62,3 |
41,97 |
|
STDEV |
4,09 |
7,88 |
6,06 |
6,73 |
From both tables above, it can be seen that there are significant differences between the minimum and maximum values for each developed and developing country. Additionally, the substantial sample size makes these two sets of data challenging to compare.
In the data for developed countries, the difference between the minimum and maximum values isn't as substantial. However, for developing countries, the disparity between the minimum and maximum values is remarkably significant. The notable differences in the minimum and maximum values for both developed and developing countries occur from 2019 to 2020. This signifies that the initial impact of COVID-19 significantly affected economic growth. There was optimism in 2020, leading to economic growth in 2021, but in 2022, a decline was observed due to increased inflation.
Analyzing the standard deviation results, it can be inferred that the sample of developed countries used in the study may represent the existing population. This is evident as the standard deviation results are lower than the average values for those years, except for the notably different 2020.
Regarding the standard deviation results for developing countries, the vast differences between the standard deviation and the average values suggest a wide variation in the data. This indicates that the data used is highly diverse, and there is a possibility that the differences between individual countries are substantial. Although the high deviation levels don’t necessarily imply that the sample cannot explain the entire population, it could be due to the diverse criteria of the 152 countries used in the sample, each having strong and varied characteristics that the sample might not entirely represent.
Based on the collected average real GDP growth data for both developed and developing countries, the researcher created graphs to visualize economic growth trends as illustrated in the following graph:
Figure 1

|
Figure 1 The Graph of Real GDP Growth Graph in Developed Countries |
"From Figure 1, we can observe that the real GDP growth in developed countries tends to move in parallel in each respective nation. The real GDP growth in 2020 was lower compared to 2021 and 2022. The year 2020 marked the onset of the widespread spread of COVID-19, where the high transmission rate led governments across the world to urge their citizens to stay at home, maintain distance, and limit direct interaction due to the rapid and high transmission rates. Restrictions on citizens' activities in various countries hindered the real GDP growth, even in developed nations. This had a significant impact on governments in terms of income because economic activities abruptly halted, virtually leading to stagnation. People panicked and stockpiled goods to meet their needs amidst the uncertainty. With no clear end in sight, the creation of a vaccine that could help prevent the spread of the COVID-19 virus was widely welcomed by citizens, hoping for a swift recovery. The impact was not only felt by the government but also by the local citizens, experiencing a decline in income due to these events.
Developed nations were among the first to gain access to the COVID-19 vaccine due to the high cost of acquiring each dose. Consequently, in 2021, the graph of real GDP growth soared significantly compared to 2020. This aligns with the optimism shared by both citizens and governments upon the introduction of the vaccine.
The real GDP growth in 2022 did not significantly differ from that of 2021. Governments and citizens in various nations began to perceive differences that would be observed in subsequent studies.
Figure 2

|
Figure 2 The Graph of Real GDP Growth Graph in Developing Countries |
Based on the data depicted in the above graph for developing countries, it's evident that 2020 stood out from the previous and subsequent years. This anomaly occurred due to the shock that created uncertainty among people. In developing countries, the real GDP growth tends to follow a similar pattern. The slight difference lies in the volatility of this growth. At a glance, indeed, the growth rate in 2020 was lower compared to 2021 and 2022. However, in 2022, there was a significant surge in Guyana, where the real GDP growth exceeded 60. The real GDP growth, both in developed and developing countries, exhibits varying degrees of volatility in each country. This could be attributed to the role of governments in formulating policies tailored to the pandemic situation. Moreover, it's possible that certain governments provided assistance to their citizens to maintain their purchasing power, allowing economic activities to continue, albeit indirectly impacted by the COVID-19 pandemic. Macroeconomic policies are essential to maintaining a certain level of real GDP growth in a country.
8. CONCLUSION
Based on the findings of this research, it can be concluded that one year prior to the declaration of the COVID-19 pandemic, in 2019, real GDP growth progressed normally without significant deviation compared to previous years. However, after the declaration of the COVID-19 virus, which had a rapid and impactful spread on the economy in 2020, real GDP growth moved significantly, indicating a recession.
In 2021, there was optimism among both the public and governments regarding real GDP growth. Economic projections from various sources suggested an increase in real GDP growth figures. This optimism was reinforced by the confidence of both the public and governments in the existence of vaccines, which aided in resuming activities to restore the economy to its previous functioning.
However, in 2022, there was a substantial decline in real GDP growth, likely due to high inflation rates in certain countries globally. This reluctance of people to engage in normal consumption activities resulted in constrained economic movement within those countries, leading to an overall reduction in real GDP growth.
This study's strengths lie in its examination and analysis of real GDP growth across both developed and developing countries during the COVID- 19 period, utilizing reliable macro-level data sources. Additionally, it could serve as a reference for other writers or researchers to provide insights or new perspectives on the subject. However, a limitation of this study is the lack of independent variables that could facilitate searching for correlations or relationships between independent and dependent variables.
Recommendations for future research include using more comprehensive and updated data. Further, attempting to use independent variables regressed against dependent variables could render the processed data more diverse and capable of explaining various conditions prevalent during the COVID-19 pandemic.
CONFLICT OF INTERESTS
None.
ACKNOWLEDGMENTS
Thank you to everyone who has contributed and provided valuable input that helped ensure the smooth progress of this research.
REFERENCES
Arikunto. (2006). Prosedur Penelitian Suatu Pendekatan Praktek. Jakarta: PT. Rineka Cipta.
Bank Indonesia. (2020, December 3). News Release. Retrieved from Optimism for Economic Recovery in 2021.
Firmansyah, F. F., Afiyah, R. N., & Adzali, F. R. (2023). Resesi Ekonomi dan Implikasinya pada Masa Pandemi Covid-19. Forum Riset Ilmiah Kajian
Masyarakat Indonesia.
Ghozali, I. (2016). Aplikasi Analisis Multivariete Dengan Program IBM SPSS 23. Semarang: Badan Penerbit Universitas Diponegoro.
International Monetary Fund. (2022). World Economic Outlook Report October 2022. Retrieved From Countering the COST-OF-LIVING CRISIS.
Mou, J. (2020). Research on the Impact of COVID-19 on Global Economy.
Purba, J. H. (2022). Analysis Driving Factors of Economic Growth During COVID-19 Pandemic: Indonesian Experiences. https://doi.org/10.37641/jimkes.v10i1.1296
Rianda, C. N. (2023). Analisis Dampak Resesi Ekonomi Bagi Masyarakat. Jurnal Perbankan Syariah dan Ekonomi Islam. https://doi.org/10.47498/iqtishad.v1i1.2211
Sugiyono. (2011). Metode Penelitian Kuantitatif dan
R&D Edisi Revisi. Bandung: Alfabeta.
Sugiyono. (2017). Metode Penelitian Kuantitatif, Kualitatif, dan R&D. Bandung: Alfabeta.
This work is licensed under a: Creative Commons Attribution 4.0 International License
© Granthaalayah 2014-2024. All Rights Reserved.