IJETMR
ASSESSMENT OF THE INFLUENCE OF CLASSROOM LIGHTING AND ACOUSTIC CONDITIONS ON LEARNING OUTCOMES: A CASE OF A SCHOOL IN BENGALURU, INDIA

Case Study

Assessment of the Influence of Classroom Lighting and Acoustic Conditions on Learning Outcomes: A Case of a School in Bengaluru, India

 

Aditi Nayak 1Icon

Description automatically generated, Vidhya M.S.2*Icon

Description automatically generated, N.S. Nalini 3Icon

Description automatically generated, Rama R. Subrahmanian 4Icon

Description automatically generated

1 M. Arch Student, Dayananda Sagar College of Architecture, DSI Campus, Shavige Malleswara Hills, Kumaraswamy Layout, Bengaluru 560078, Karnataka, India

2 Associate Professor, Dayananda Sagar College of Architecture, DSI Campus, Shavige Malleswara Hills, Kumaraswamy Layout, Bengaluru 560078, Karnataka, India

3 Professor, Dayananda Sagar College of Architecture, DSI Campus, Shavige Malleswara Hills, Kumaraswamy Layout, Bengaluru 560078, Karnataka, India

4 Professor, Dayananda Sagar College of Architecture, DSI Campus, Shavige Malleswara Hills, Kumaraswamy Layout, Bengaluru 560078, Karnataka, India

CrossMark

ABSTRACT

Aim: Classroom lighting and acoustics strongly affect comfort, attention, and communication. This study aims to evaluate how the classroom lighting and acoustic conditions influence learning outcomes by assessing environmental parameters and collecting perceptual feedback from students and teachers in a selected school in South Bengaluru.

Methodology: A mixed-methods research methodology was used, which combined environmental measurements and user perception surveys. A BEETECH B-105 light meter and a BEETECH B-401 sound level meter were used to obtain objective data. Subjective data was collected using structured Likert-scale questionnaires provided to 106 students and 14 teachers at a private school in Bengaluru. These data were analyzed and presented.

Findings: Results showed that 53% of students experienced visual discomfort, primarily due to glare and uneven brightness. In high-illumination classrooms (above 340.5 lux), 50% reported visual fatigue, aligning with findings on over-illumination. Some students (29%) mentioned strong echo effects, whereas just under a quarter said they understood teachers well, matching earlier findings about unclear speech. In noisy spaces above 75-80 dB, teachers described effortful speaking, which aligns with prior observations on classroom sound issues.

Implications: The research highlights including both sound and light elements in school building guidelines. While supporting low-cost renovation methods, it also fosters better classroom conditions that benefit students’ performance, along with staff health.

 

Keywords: Classroom Environment, Acoustic Comfort, Lighting Quality, Learning Outcomes, Mixed-Methods Research

 


INTRODUCTION

The condition of classrooms has a significant impact on how students learn, stay engaged, and feel overall. One after another - lighting then sound - affects sight, hearing, and interaction inside class spaces Yang et al. (2013). When light falls short, eyes tire easily; focus drops Mott et al. (2012), whereas unclear audio muddles speech plus adds background noise problems John et al. (2016). Although both matter greatly, they're frequently overlooked during school planning, particularly in areas where cities are growing rapidly Kapoor et al. (2021). So getting visuals right along with balanced sound becomes necessary - not optional - for fair, functional teaching setups. This study explores how classroom lighting and acoustic conditions affect learning outcomes, emphasizing the need to integrate environmental considerations into educational planning and infrastructure development Ricciardi and Buratti (2018). Lighting and acoustics are two essential aspects of indoor environmental quality (IEQ), influencing both learning and teaching experiences. In educational settings, lighting affects visual comfort, circadian rhythm, mood, and cognitive efficiency Arango et al. (2021), whereas acoustics influence speech intelligibility, listening effort, and instructor voice health Mogas et al.. (2021). In an Italian study, Ricciardi and Buratti (2018) found that daylight improves attentiveness and reduces the need for artificial illumination, though uncontrolled sunlight may cause glare and discomfort. This highlights that effective classroom design requires uniformity and control, an issue especially relevant in Indian schools with wide window openings Kapoor et al. (2021).

In terms of sound, research such as Acoustics in Schools (2021) along with a Spanish classroom analysis (2020) reveals that high ambient noise and prolonged echo reduce speech clarity while boosting mental fatigue. Numerous active learning spaces go beyond recommended baseline sound levels (35–40 dB(A)), whereas sudden loud sounds - often due to street movement or nearby events - may rise past 75 dB(A), adding pressure on instructors and disrupting pupils. Although proof highlights the individual importance of light conditions and auditory environments, they’re seldom examined jointly within live teaching contexts. This work addresses that missing link by assessing both aspects side-by-side in a functioning school in Bengaluru, combining measured values for illumination (lux) and volume (dB) together with subjective feedback gathered from learners and staff. The quality of the classroom environment is gaining worldwide focus. The 2020 UNESCO Education Report shows that about 30% of school-aged kids learn in spaces falling below basic standards. A 2023 McKinsey study on Indian schools found more than 45% of city classrooms suffer from poor light and sound conditions, leading to reduced student alertness. Meanwhile, a 2022 KPMG India report noted fewer than one in five private schools apply proper acoustic design or natural light planning. On top of this, the WHO identifies background noise as a key factor behind slower learning progress and emotional strain in young learners. Field studies in Europe and the United States frequently reveal averages of 55-65 dB(A), with peaks exceeding 75 dB(A) during regular school activities (Acoustics in Schools, 2021). Similarly, a Spanish study on school acoustics discovered that 90% of tested classrooms exceeded acceptable reverberation lengths, affecting speech intelligibility and learning outcomes (Acoustics-Spain, 2020). Based on a synthesis in Buildings (2023), proper light for student desks usually falls within 300–500 lux; yet, numerous classrooms struggle to keep stable brightness during school hours - particularly without effective daylight control. Findings from an analysis of classroom lighting studies show glare issues may impact nearly 60% of pupils where natural light is poorly managed (A Review of Lighting Research in Educational Space, 2022). During testing, recorded light intensity varied from below 250 lux to above 340 lux, while excessive brightness linked to visual discomfort among learners. Sound readings averaged between 60 and 68 dB, though short bursts reached 75–80 dB, which coincided with teachers reporting vocal fatigue and lower speech intelligibility.

Despite evidence, most Indian schools continue to prioritize enrollment capacity and cost efficiency over environmental quality Kapoor et al. (2021). Research in India rarely links objective data with how people experience light and noise in classrooms. While many papers look at air flow or room temperature, few examine illumination and sound through actual measurements instead of just opinions. In addition, standards like the NBC and BIS offer suggestions about classroom lighting and acoustic design - yet these are advisory rather than enforced rules. As a result, implementation varies greatly, and compliance is not consistently monitored. Classrooms in metropolitan areas are often converted from existing facilities without adequate assessment of acoustic or visual characteristics Sundaravadhanan et al. (2017). This study bridges the gap by combining objective environmental measurements (lux and dB levels) with subjective perception data collected from students and teachers. It investigates how these environmental characteristics connect to academic comfort and performance, providing insights that can help guide improved design and policy decisions. Theoretically, this study expands on Kim et al.'s (2023) multisensory insights and adapts Ricciardi and Buratti's glare-control findings to a tropical, high-solar-gain setting. It reveals how visual and aural comfort interrelate in real-world environments, which laboratory research sometimes neglect. Practically, it generates feasible, locally based recommendations such as installing glare control (blinds, films), optimizing artificial illumination uniformity, implementing basic acoustic treatment, and changing timetabling to avoid peak noise overlaps. Using NBC standards as a reference, this research links real-world measurements with policy guidelines - offering a model adaptable across countries.

 

LITERATURE REVIEW

Lighting or acoustics are often studied alone when it comes to classroom environments, yet little work explores how they interact together. Daylighting research, such as Ricciardi and Buratti (2018), show that while natural light enhances alertness and reduces dependency on artificial sources, unshaded daylight can produce glare and discomfort, impairing visual function. Research by García-Hansen and team (2021) shows that, although teaching methods have shifted, ceiling light patterns in classrooms still follow rigid grid arrangements - just like they did years ago. Emerging measurements like melanopic equivalent daylight illuminance (m-EDI) broaden performance assessment to include circadian influences, with research demonstrating that electric light alone frequently fails to satisfy WELL Building Standard requirements without daylight supplementation Borisuit et al. (2023). Acoustically, field tests at European and Indian schools commonly show background noise levels over the WHO's 35 dB(A) standard and reverberation lengths that exceed recommended thresholds Shield & Dockrell (2008); Ramesh et al. (2021). Valero et al. (2020) found that most classrooms exceeded recommended reverberation levels, which directly affects how clearly students hear speech. In teacher reports, vocal fatigue appears frequently, particularly where noise is higher, highlighting why better room acoustics matter Shield and Dockrell (2008). Studies using mixed methods, like Kim et al. (2023), reveal interactions between light and sound: while lighting shapes mental performance, auditory conditions alter how space feels. This coincides with proposals for integrated assessment systems that combine physical measurements and user feedback.

This study is unique in that it evaluates lighting and acoustics in operating classrooms of a Bengaluru school while including objective measurements with student and teacher perception surveys. Unlike simulation-driven studies, it captures real-world settings in a warm-climate, high-daylight, high-noise metropolitan environment, yielding suggestions based on both measurement and lived experience. The incorporation of dual stakeholder perspectives is another novelty. Teachers - active in communication and managing surroundings - and learners, receiving lessons, both contribute data. A dual viewpoint uncovers details missed by one-sided studies; for example, educators note vocal fatigue when noise rises, whereas pupils still rate spoken words as clear. Instead of focusing only on learner results, this work adds insights from instructors about speaking effort, teaching barriers, and control issues in challenging environments, giving a fuller view of classroom design. Even though light and sound quality have each been examined separately, limited attention has been paid to how they interact in actual schools with tight resources. Indian studies have largely focused on heat comfort, creating gaps in broader evaluations. In addition, few real-world examples show affordable upgrades that meet light, sleep-cycle, and sound clarity needs in hybrid-learning classrooms.The study aims to achieve the following objectives:

1)     To assess the current lighting and acoustic conditions in chosen classrooms using empirical instruments (lux and sound meters).

2)     To evaluate student and teacher impressions of lighting and acoustic comfort using structured Likert-scale surveys.

3)     To investigate the correlation between observed environmental variables and reported discomfort, concentration, and communication concerns.

4)     To compare findings to national and international standards (NBC).

 

METHODOLOGY

DESCRIPTION OF THE SELECTED CLASSROOMS

Figure 1

 

 

 

 

 

 

 

 

 

 

 

 

 

 

Figure 1 Location Plan

 

The research took place at a private institution in Bengaluru, chosen due to ease of access as well as diverse classroom setups. Twelve classrooms were chosen across different floor levels as sample spaces, varying in terms of size, layout, daylight access, and acoustic quality.  The selection of classrooms depended on where they were located - near both inner and outer pathways, plus one right in the middle. Around 106 students along with about 14 teachers took part in the survey. Data on surroundings was collected during normal class times so it matched real-life use, making results more accurate for daily learning situations.

Figure 2

 

 

 

 

 

 

 

 

 

 

 

 

 

 

 

 

 

 

Figure 2 Plan and View of the Surveyed Reference School Building. (a) Site Plan; (b) Courtyard View of the School

 

Figure 3

 Figure 3 Data Collection in the Classroom with the Instrument

 

 

Figure 4

 

 

 

 

 

 

 

 

 

 

 

 

 

 

 

 

 

 

 

 

 

 

Figure 4 Typology in the Classroom

 

Figure 5

 

Figure 5 Classrooms selected in the school building. (a) Ground Floor; (b) First Floor; (c) Second Floor ;(d) Third Floor

 

RESEARCH DESIGN

This study uses a mixed-methods research methodology, combining quantitative and qualitative techniques to understand how acoustics and lighting affect learning outcomes in the classroom. The quantitative component consists of objective measurements of environmental characteristics such as illumination levels and ambient sound levels, which are collected using scientific instruments. The qualitative part includes views from teachers and learners on lighting and sound conditions, gathered through standardised questionnaires using a five-point rating system. This combination of empirical measures and subjective feedback allows for triangulation of results, resulting in a comprehensive analysis of both physical conditions and user experiences in the classroom.

 

DATA COLLECTION METHODS- INSTRUMENTS, PARTICIPANTS

Two devices monitored classroom environments throughout the study. A BEETECH B-105 measured lighting intensity, capturing values in lux under normal use. At the same time, noise exposure was tracked via a BEETECH B-401, reporting results in decibels while rooms were in active use. Data from these instruments offered concrete insight into visibility and sound quality - key factors shaping teaching efficiency. Both teachers and students took part as primary participants in this research. Students in grades one through ten regularly used the chosen classrooms, where they directly encountered the light and sound settings. To gather personal feedback, different guided surveys were designed - one for educators, another for learners. Each questionnaire followed a Likert scale format and was divided into key sections related to visual and acoustic comfort. The student edition looked at how simple it was to view the board, levels of light reflection, sharpness of audio, also focus capacity. The teacher version included questions about vocal strain, frequency of interruptions due to noise, and perceived student attentiveness.

 

ANALYSIS TECHNIQUES

The data gathered through objective measures and subjective surveys was evaluated using objective and subjective approaches. Objective environmental data, such as lux levels and ambient noise measures, were grouped and analyzed in Microsoft Excel to calculate averages, discover patterns, and visually map differences among classrooms. The subjective data from the Likert-scale questionnaires was also coded and analyzed in Microsoft Excel for basic data cleaning, tabulation, and visualization. Comparative analysis was conducted against standard benchmarks recommended by the National Building Code (NBC) for classroom lighting and acoustic performance.

 

RESULTS AND DISCUSSIONS

TEACHERS RESPONSE FOR LIGHTING

Analysis of the teacher survey revealed that in Q1 (board visibility), the proportion of positive ratings was highest on the ground floor (92.9%), followed by the third floor (88.9%), first floor (80.6%), and second floor (75.9%).For Q2 (glare), the lowest glare occurrence was reported on the first floor, with 52.8% selecting the lowest rating, followed closely by the ground floor (50%). Higher glare prevalence was seen on the second floor, where 37.9% gave mid-range scores, and on the third floor, where 40.7% did so. In Q3 (eye strain), low strain ratings were most common on the ground floor (71.4%) and first floor (61.1%), with slightly lower proportions on the third floor (59.3%) and second floor (55.2%). For Q4 (overall comfort), high comfort ratings (“Agree” + “Strongly agree” categories) exceeded 60% on all floors, peaking at 76.7% on the second floor and reaching the lowest on the ground floor (64.3%). Neutral ratings were most frequent on the third floor (33.3%).

Figure 6

Figure 6 Chart Distribution of Teachers Responses by Floor and Question for lighting

 

TEACHERS RESPONSE FOR ACOUSTICS

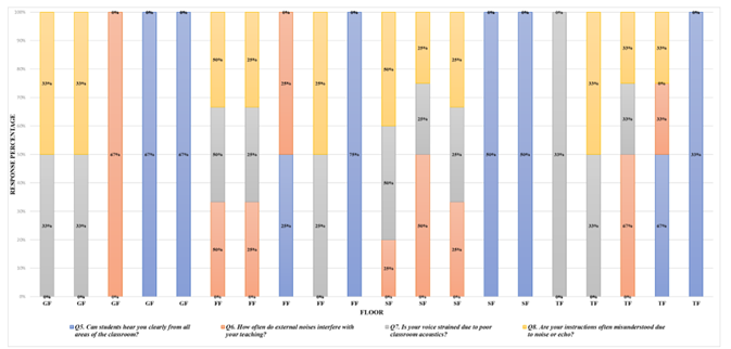
Figure 7

Figure 7 Chart Distribution of Teachers Responses by Floor and Question for Acoustics

 

In Q5 (audibility), the proportion of high ratings was 100% for the ground, second, and third floors, and 75% for the first floor, indicating strong audibility overall but a minor drop on the first floor. For Q6 (external noise interference), On the third floor, every teacher said outside noise often caused problems - this was the highest rate. The ground floor came next, with two out of three reporting similar issues, whereas only one in four noticed it on the first and second levels, showing differences across floors. In Q7 (voice strain  around 66% on the bottom and top floors felt some degree of effort; half as many did on the middle levels. This shows that speaking demands exist throughout - but are stronger in certain areas. For Q8 (misunderstanding due to noise or echo), everyone on the third floor experienced this problem. Two-thirds downstairs faced the same issue, compared to fifty-fifty upstairs and mid-building. These results match earlier findings, pointing again to worse conditions near the roof. Sound measurements went above 75–80 dB on the ground and third floors; at times, levels reached nearly 89 dB downstairs. Although noise was strong there, occupants noticed little disturbance - possibly due to layout features, materials used indoors, or where sounds came from.

 

STUDENTS RESPONSE FOR LIGHTING

Figure 8

Figure 8 Comparison of Student Responses by Seating Position and Question for Lighting

 

In Q1 (visibility of the board), the highest rating was given by 100% of students in most front-row positions on the ground, first, and second floors, while the first floor back row recorded 60% and the ground floor middle row 75%. For Q2 (glare),  middle seats had 75% reporting no glare - front seats 57.1%. Yet third-floor front saw just 12.5%, along with 25% in the middle. More glare occurred up top: 62.5% in third-floor mid-section; also, 50% on second-floor rear. In Q3 (eye strain), three-quarters of those seated mid-ground felt fine - as did over two-thirds upfront. However, fewer from first-floor center agreed (44.4%), even less so toward back upper level (40%). Strain labeled "always" peaked both in first-floor front and central lower area, each at 25%; linked to light intensity exceeding 300 lux. For Q4 (comfort approval reached 85.8% front down below; higher still - 90% - toward back of second tier. Ratings dipped slightly for first-floor forward spots (66.6%) and dropped more sharply behind third-level (54.6%). Measured illuminance ranged from under 110 lux in some ground floor seats to over 340 lux in select first and second floor positions, with both extremes linked to higher discomfort indicators.

 

 

 

 

 

STUDENTS RESPONSE FOR ACOUSTICS

Figure 9

Figure 9 Comparison of Student Responses by Seating Position and Question for Acoustics

 

In Q5 (audibility), the highest rating was given by 100% of students on the ground floor, 94.4% on the first floor, 92.6% on the third floor, and 75.9% on the second floor. For Q6 (outside noise interference), low-interference ratings were most frequent on the ground floor (78.6%), followed by the third floor (48.1%), with the first floor at 38.9% and the second floor at 34.5%. In Q7 (echo), prevalence was 50% on the first floor, 21.4% on the ground floor, 14.8% on the third floor, and 13.8% on the second floor. For Q8 (noise affecting concentration), concerning noise disrupting focus - the second floor showed the highest rate at 72.4%. Meanwhile, both the first and third floors reported identical figures of 48.1%. The ground floor recorded the lowest share, standing at 28.6%.Measured noise levels ranged from around 63.5 dB to above 75 dB, with the second floor showing the strongest link between higher concentration impact and elevated dB readings

 

LIGHTING SURVEY

 Figure 10

Figure 10 Minimum and Maximum Lux levels in each Classroom

 

On the ground level, light intensity varied between 89.6 and 108.2 lux; average was 102.0 lux - this points to modest, even illumination. Moving upstairs, the first floor showed broader differences: values spanned from 74.0 up to 182.2 lux, averaging 120.5 lux, meaning some spots were much brighter than others. Up another level, readings on the second floor ran from 90.3 to 221.8 lux, hitting an average of 154.5 lux - light here was stronger overall but also more inconsistent. At the top, the third floor reached the peak intensities, ranging between 224.7 and 408.2 lux, with a midpoint of 324.5 lux, which reflects markedly elevated brightness alongside uneven spread.

 

ACOUSTIC SURVEY

Figure 11

Figure 11 Minimum and Maximum dB Levels in each Classroom

 

Sound level measurements revealed substantial variation in acoustic conditions among classrooms. Minimum noise varied between 51.8 dB in Room 7 and 72.6 dB in Room 4; background sound was quietest in Rooms 3 and 7. In contrast, maximum levels varied from 66.8 dB in Classroom 7 to 89.1 dB in Classroom 5, with Classrooms 4, 5, and 6 exhibiting the highest peaks. The gap from low to high noise ranged 15–25 dB on average, showing common shifts between ambient sound and sudden spikes. Although classroom 5 showed repeated highs above 85 dB, room 4 also had similar intense bursts - both may disrupt speech clarity or strain attention over time. In contrast, classroom 7 stayed lower at both ends, suggesting less overall disturbance. Despite acceptable base levels in certain rooms, excessive peaks occurred often enough to surpass guidelines meant for schools; therefore, specific sound control measures appear necessary.

 

DISCUSSION

According to the statistics, over 80% of the students reported that they could see the board clearly from their seats and continuously evaluated their visual comfort as high. This finding aligns with recorded light readings often surpassing 100 lux while sometimes reaching 200–300 lux. Still, around two-thirds of pupils noted glare issues or eye strain - especially where natural brightness entered freely without proper shading or softened illumination methods. Even though visibility was generally clear, half the learners - including many exposed to extreme levels such as 340.5 lux - reported discomfort, pointing toward intense or poorly managed lighting contributing to visual fatigue. Prior research similarly links insufficient and overly bright environments to reduced visual ease and concentration among students Ricciardi and Buratti (2018); Arango et al. (2021). Out of fourteen educators, ten rated the overall lighting quality as satisfactory or better, yet most acknowledged reliance on electric lights being sufficient either constantly or nearly so. Yet some noted that poor lighting or strong glare continued to impact student attention in certain spots. These results match earlier studies showing inconsistent light levels can lower focus during lessons while also impairing mental processing Angelaki et al. (2022); Ricciardi and Buratti (2018).

Just 24% of pupils felt the instructor was fully understandable; however, most noticed minimal external sound - especially where decibel measures ranged between 60 and 68. Still, roughly 29% mentioned strong echo effects, mostly within spacious or untreated learning spaces. While nine teachers out of fourteen confirmed good hearing ability during lessons, several noted concerns over periodic voice tiredness and miscommunication due to background disturbance, mainly when levels passed 75–80 dB. Such outcomes align with past studies showing educators face greater risk of vocal stress under weak acoustic setups - even if learners perceive speech clarity as acceptable Brill et al. (2018), John et al. (2016). These results show a discrepancy between felt acoustic comfort and measured sound conditions, which are within acceptable limits. The results show that managing sound and light matters for better teaching quality - both shape how well students learn Mogas et al. (2021). In Bengaluru, recorded light levels fell short of the NBC's required 200 lux; most classrooms had only 95–182 lux, just one slightly above at ~218 lux. Noise problems were consistent across spaces: background sounds ranged from 62 to 89 dB(A), far beyond the suggested 40–45 dB(A) range. This points to deep-rooted flaws in basic room design related to brightness and quietness. Poor illumination combined with high noise may reduce visibility clarity, make speech harder to understand, or lower general learning effectiveness John et al. (2016); Mogas et al. (2021).

The Bengaluru classrooms showed poor light levels across nearly all areas (95–182 lux), falling short of the NBC’s required minimum (200 lux); this aligns with findings from Ricciard and Buratti (2018), who demonstrated that suboptimal lighting conditions in educational spaces can negatively influence visual comfort and task performance, particularly when illuminance falls below recommended thresholds. Similarly, the review by Tantanatewin and Inkarojrit (2016) emphasised that inadequate lighting design, whether in daylight or artificial systems, often results in visual strain and reduced learning efficiency, particularly in poorly lit classrooms. Noise levels in Bengaluru (62–89 dB[A]) went far above the recommended 40–45 dB(A), matching earlier results from Shield and Dockrell (2008); their work showed loud surroundings reduce speech clarity, which raises voice effort for instructors while lowering understanding among learners. In Spain, Giménez et al. (2022) discovered that rooms with strong echo and high sound volume received negative feedback from educators and pupils alike - this highlights how bad acoustics interfere with teaching effectiveness. Contrary to Park et al.’s 2023 experiment, where light and audio factors were adjusted under lab settings, the Indian example shows natural environments where lighting and noise fail standard requirements at once. This supports the proposition of combined environmental interventions, as highlighted in the Buildings journal study Pitt & Zannin (2023), which advocates integrated design approaches that address both lighting and acoustics holistically to optimise learning outcomes. In Eastern Europe, local programs Kovács et al. (2022) led structured improvements to match education infrastructure norms; however, data from Bengaluru reveals uneven application of lighting and sound regulations - highlighting a pressing demand for stronger oversight alongside practical updates suited to Indian city schools.

 

IMPLICATIONS

For theoretical implications, this study reinforces environmental psychology and educational ergonomics literature by evidencing that multisensory comfort, particularly visual and acoustic quality, affects attention, memory, and academic engagement Ricciardi and Buratti (2018), Park et al. (2023). Integrating objective environmental measures with perceptual feedback provides a replicable, interdisciplinary framework for evaluating learning spaces. Findings highlight practical steps for improving school spaces, using natural light wisely, adjusting electric lighting carefully, also applying affordable sound fixes like wall coverings or ceiling units Tantanatewin and Inkarojrit (2016); Shield & Dockrell (2008). This dual approach, combining user feedback with periodic environmental audits, can guide architects and administrators in both retrofitting existing classrooms and developing new, code-compliant facilities.

 

LIMITATIONS

The study only looked at one school in Bengaluru, which could not be representative of all the other kinds of schools, building styles, and environmental factors that exist in the area or nation. Despite being sufficient for preliminary examination, the sample size limits how broadly the results may be applied. Furthermore, the subjective replies from students and teachers were based on self-reported perceptions, which might be influenced by personal biases, mood, or recent events. The study looked only at light and sound, ignoring factors such as room temperature, airflow, or desk design, each possibly affect how well students learn. Because of this limitation, though patterns emerged, direct cause-and-effect links remain unclear; therefore, broader investigations across varied environments are recommended to strengthen findings.

 

CONCLUSION AND FUTURE WORK

The research showed that although light levels were generally sufficient, some pupils experienced eye strain due to glare or inconsistent spread. Where brightness was poorly managed, visibility suffered - especially for those seated near windows. Educators often saw electric lights as suitable; however, a small number noted drawbacks like reduced attention in harshly lit rooms. Sound quality differed across settings - not everyone had trouble hearing, yet several learners described mild reverberation and disruptions from hallways or traffic. In louder environments, instructors pointed out challenges including voice fatigue and having to restate directions frequently. Spaces combining balanced lighting with quieter acoustics tended to support improved concentration, physical ease, and smoother teaching.

This study adds to current knowledge by showing how factors like light and sound affect thinking and actions in classrooms. Because it links sensory experiences with measurable conditions, the work extends ideas from environmental psychology and space planning. For professionals such as school planners or designers, findings offer concrete guidance when shaping better indoor spaces. Instead of assumptions, decisions can rely on data tied to both well-being and academic outcomes. Where fixed standards fall short, observational checklists help capture actual classroom effectiveness under everyday circumstances. This study creates several paths for follow-up work on classroom environments. Although this one looked at light and sound conditions, later projects may examine temperature comfort or air freshness - also relevant to student health and focus. Another option is assessing desk design or room arrangement, since these affect engagement too. Expanding investigations to different kinds of schools - city-based, countryside, public, or private - could show how building standards and area influence surroundings. Tracking grades or behavior patterns before and after upgrades might clarify cause-effect relationships.

  

ACKNOWLEDGMENTS

None.

 

REFERENCES

Akhtar, S. A., and Suneja, M. (n.d.). Assessment of Acoustic Comfort in Classrooms: A Study of Schools in Gaya, Bihar. 

Angelaki, S., Besenecker, U., and Danielsson, C. B. (2022). A Review of Lighting Research in Educational Spaces. In IOP Conference Series: Earth and Environmental Science (1099, 1, 012032). IOP Publishing.

Arango-Díaz, L., Flórez, O. L. M., Gaviria, L. R., Vega, L. M. T., and Rueda, C. M. Z. (2021). Influence of the Thermal and Lighting Performance in Classrooms on the Cognitive Productivity of Students in Colombia. Journal of Green Building, 16(4), 135–164.

Brill, L. C., Smith, K., and Wang, L. M. (2018). Building a Sound Future for Students: Considering the Acoustics of Occupied Active Classrooms. Acoustics Today, 14(3), 14–22.

Fretes, G., and Palau, R. (2025). The Impact of Noise on Learning in Children and Adolescents: A meta-analysis. Applied Sciences, 15(8), 4128. https://doi.org/10.3390/app15084128

John, J., Thampuran, A. L., and Premlet, B. (2016). Objective and Subjective Evaluation of Acoustic Comfort in Classrooms: A Comparative Investigation of Vernacular and Modern School Classroom in Kerala. Applied Acoustics, 104, 33–41.

Kapoor, N. R., Kumar, A., Alam, T., Kumar, A., Kulkarni, K. S., and Blecich, P. (2021). A Review on Indoor Environment Quality of Indian School Classrooms. Sustainability, 13(21), 11855.

Kiziltunali, B. (2023). A Literature Review: The Impact of Light on Students’ Learning Performance. Humanising Language Teaching, 25(4).

Krüger, E. L., and Zannin, P. H. (2004). Acoustic, Thermal and Luminous Comfort in Classrooms. Building and Environment, 39(9), 1055–1063.

Liu, C., Zang, Q., Li, J., Pan, X., Dai, H., and Gao, W. (2023). The Effect of the Acoustic Environment of Learning Spaces on Students’ learning efficiency: A Review. Journal of Building Engineering, 79, 107911.

Lo Verso, V. R., Giovannini, L., Valetti, L., and Pellegrino, A. (2023). Integrative Lighting in Classrooms: Preliminary Results from Simulations and Field Measurements. Buildings, 13(9), 2128.

Madbouly, A. I., Noaman, A. Y., Ragab, A. H. M., Khedra, A. M., and Fayoumi, A. G. (2016). Assessment Model of Classroom Acoustics Criteria for Enhancing Speech Intelligibility and Learning Quality. Applied Acoustics, 114, 147–158.

Marchand, G. C., Nardi, N. M., Reynolds, D., and Pamoukov, S. (2014). The Impact of the Classroom Built Environment on Student Perceptions and learning. Journal of Environmental Psychology, 40, 187–197.

Mealings, K. (2023). A Scoping Review of the Effect of Classroom Acoustic Conditions on Primary School Children’s Numeracy Performance and Listening Comprehension. Acoustics Australia, 51(1), 129–158.

Mercugliano, A., Corbani, A., Bigozzi, L., Vettori, G., and Incognito, O. (2025). The Effects of Classroom Acoustic Quality on Student Perception and Wellbeing: A Systematic Review Across Educational Levels. Frontiers in Psychology, 16, 1586997. https://doi.org/10.3389/fpsyg.2025.1586997

Mogas-Recalde, J., Palau, R., and Márquez, M. (2021). How Classroom Acoustics Influence Students and Teachers: A Systematic Literature Review. Journal of Technology and Science Education, 11(2), 245–259. 

Mott, M. S., Robinson, D. H., Walden, A., Burnette, J., and Rutherford, A. S. (2012). Illuminating the Effects of Dynamic Lighting on Student Learning. SAGE Open, 2(2), 2158244012445585.

Paunović, K., Ristovska, G., Argalasova, L., Dzhambov, A. M., and Andersen, Z. J. (2025). How are Eastern European Countries Addressing Environmental Noise Issues? A Post-Conference Expert Discussion. Noise and Health, 27(126), 201–202.

Ricciardi, P., and Buratti, C. (2018). Environmental Quality of University Classrooms: Subjective and Objective Evaluation of the Thermal, Acoustic, and Lighting Comfort Conditions. Building And Environment, 127, 23–36.

Singh, P., Arora, R., and Goyal, R. (2020). Impact of Lighting on Performance of Students in Delhi Schools. In Indoor Environmental Quality: Select Proceedings of the 1st ACIEQ (95–108). Springer.

Sundaravadhanan, G., Selvarajan, H. G., and McPherson, B. (2017). Classroom Listening Conditions in Indian primary schools: A survey of four schools. Noise and Health, 19(86), 31–40.  https://doi.org/10.4103/1463-1741.199240 

Valiyappurakkal, V. K., Dolas, S., and Suresh, A. (2025). Assessing Indoor Environmental Quality of Naturally Ventilated Classrooms in Tropical Climates. Journal of Building Engineering, 113048.

Yang, Z., Becerik-Gerber, B., and Mino, L. (2013). A Study on Student Perceptions of Higher Education Classrooms: Impact of Classroom Attributes on Student Satisfaction and Performance. Building and Environment, 70, 171–188. 

Creative Commons Licence This work is licensed under a: Creative Commons Attribution 4.0 International License

© IJETMR 2014-2026. All Rights Reserved.