ShodhKosh: Journal of Visual and Performing Arts
ISSN (Online): 2582-7472

MEMORABLE CULTURAL EXPERIENCE AT CHEMBAI MUSIC FESTIVAL GURUVAYUR KERALA: SCALE DEVELOPMENT

MEMORABLE CULTURAL EXPERIENCE AT CHEMBAI MUSIC FESTIVAL GURUVAYUR KERALA: SCALE DEVELOPMENT

 

KM Vineeth 1Icon

Description automatically generated

 

1 Associate Professor and Research Guide, Post Graduate Department of Commerce, Government College Tripunithura, (Affiliated to Mahatma Gandhi University, Kottayam), Ernakulam, Kerala, India

 

A picture containing logo

Description automatically generated

ABSTRACT

WTTO has identified tourism as one of the major economic activities of the 21st Century. Experiences of the visitors at different purpose levels often result in multiple outcomes including revisit intention, word of mouth and so on. Memorable Cultural Experience shall dwell a new path to understand the emotional connections of the visitors with cultural events. The present study undertakes a scale development and validation of the same at the famous Chempai Music Festival held at Guruvayur Temple, Thrissur, Kerala. A sample of 530 visitors were made part of the study, and data collected were analysed using EFA, CFA and validity measures. Visitor’s perceived authenticity, novelty, emotional connections, cultural learning and values contributes to the total experience. Thus, this research endeavors to provide insights into the intricate interplay between cultural heritage, emotional engagement, and tourism dynamics, thereby enriching our understanding of visitor experiences and informing strategic initiatives for sustainable tourism development.

 

Received 18 January 2024

Accepted 23 June 2024

Published 28 June 2024

Corresponding Author

KM Vineeth, vineeth@gcte.ac.in, vineeth@maharajas.ac.in

DOI 10.29121/shodhkosh.v5.i1.2024.910  

Funding: This research received no specific grant from any funding agency in the public, commercial, or not-for-profit sectors.

Copyright: © 2024 The Author(s). This work is licensed under a Creative Commons Attribution 4.0 International License.

With the license CC-BY, authors retain the copyright, allowing anyone to download, reuse, re-print, modify, distribute, and/or copy their contribution. The work must be properly attributed to its author.

 

Keywords: Chempai Music Festival, Memorable Cultural Experience, Guruvayur

 

 

 


1. INTRODUCTION

Nature and myths has always occupied a major stake in the spiritual and cerebral backdrop of Kerala Nambudiri (2022), Seth (2001) which is more known as God’s Own Country in the tourism landscape Bandyopadhyay & Nair (2019). Religious tourism and pilgrimage tourism driven by faith reasons are more common in the present decades than before Rinschede (1992), Sharpley & Sundaram (2005). Mythical early stages onwards, Guruvayur turn out to be one of India’s most imperative temples. Many thousands of pilgrims and visitors flight into the sacred surroundings of Guruvayur temple daily to worship lord Krishna (Avatar of Lord Vishnu) more known as lord Guruvayurappan; the devotees spiritual experience attributes the place as Heaven on Earth for them Seth (2012).

The destination of guruvayoor temple in prominent in the cultural and pilgrimage tourism maps of South India. Rich cultural heritage of the Samoothiri Era (Rule of the King) in rituals and traditions and cultural forms could be found evident in the temple and surroundings. The temple is equally famous for the promotion of arts and culture and the domicile of Thrissur is rightly referred to as the Cultural Capital of Kerala. Chempai Music Festival is one of the most prominent cultural festival of the temple. 

Chembai Music Festival a.k.a. “Chembai Sangeetholsavam” is one of the largest cultural and musical festival of South India where a massive number of musicians apply for their turn to perform among the invited performances by the veterans in memory of the Late Chempai Vaidyanatha Bhagavathar (An Unparalleled Veteran Karnatic Musician). The cultural event though offered as a musical worship too in front of Lord Guruvayoorappan is identified as one of the major cultural events to be witnessed and duly showcased by the Department of Tourism and Devaswom Guruvayur Devaswom (2023), Kerala Tourism. (2017), which is also well connected to the one of the most famous religious festival of the temple Guruvayur Ekadasi Kerala Tourism. (2007).

Guruvayur, a charming town nestled in the cultural heart of Kerala, India, is more than just a sacred destination with religious significance. At its core lies the famous Guruvayur Sri Krishna Temple, a beloved pilgrimage spot that calls out to devotees and tourists alike. Beyond the religious charm, Guruvayur offers a cultural journey that goes beyond the typical pilgrimage experience Chakravarty (2009), Seth (2012).

The town's cultural vibe is intricately woven with threads of history, mythology, and local customs, creating a unique tapestry that captures the senses of those who venture to Guruvayur. The air is filled with the echoes of temple bells, the sweet scent of incense, and the melodious chants that resonate through the sacred spaces, providing visitors with an all-encompassing experience that extends well beyond religious rituals. Guruvayur is steeped in the legendary tales of Lord Krishna, and every corner of the town echoes with stories from ancient scriptures Seth (2008), Seth (2012).

Pilgrims and culture enthusiasts are drawn to the temple's architectural marvels, adorned with detailed carvings, vibrant murals, and a divine aura that surrounds the premises. The traditional rituals and ceremonies offer a glimpse into Kerala's rich cultural heritage, allowing pilgrims to become a part of the spiritual fabric of the region. The cultural richness of Guruvayur doesn't stop at the temple gates. The lively bazaars in town showcase traditional handicrafts, intricately designed saris, and aromatic spices, reflecting Kerala's artistic and culinary excellence. Pilgrims become immersed in the daily life of Guruvayur, where rituals, festivals, and local customs seamlessly blend into the town's cultural identity. This exploration of Guruvayur's cultural tapestry isn't just about visiting religious landmarks; it's a deep dive into the soul of Kerala. Pilgrimage tourism, thus, becomes a gateway to a cultural adventure, inviting travelers to witness the harmonious blend of faith, art, and tradition. As we delve into Guruvayur's cultural experience, we uncover a timeless story, connecting modern travelers with the ancient roots of spirituality and culture that define this sacred town Anaya & Lehto (2023), Avel (2022), Bandyopadhyay & Nair (2019), Chakravarty (2009), Damodaran (2018), M.P & Keskar (2015), Nambudiri (2022), Olukole (2022), Paul (2016), Richmond (1971), Seth (2001), Seth (2012), Shyju et al. (2021), Vijayakrishnan & Sinha (2019).

Chembai Vaidyanatha Bhagavatar (1896-1974) is one of the most revered performers of classical music. The Chempai Music Festival in Guruvayur holds significant cultural importance as a promoter of cultural exchange, preserver of traditional music, celebrator of local identity, facilitator of music education, catalyst for community engagement, and guardian of intangible cultural heritage. Its multifaceted contributions not only enrich the cultural landscape of Kerala but also resonate with audience worldwide, fostering appreciation for the rich tapestry of global music traditions Carpenter (2023), Ghilgith (2020), Sriraman (2014). The official YouTube channel of Guruvayur Devaswom broadcasted this years’ event live too providing a wider reach of the event.

The musical event attracts research interest as more than 3000 artists perform their talents each year at the venue and the audience to the same is beyond normal estimations. The live performance in varied styles at the spiritual ambience is a rare piece of experience for art lovers. Beyond music, the venue also offers the temple culture, Kerala’s heritage avenues and a community gathering across demographics. Chempai Music Festival is more than just music and it is a cultural immersion for the visitors. Soulful classical music, spiritual energy and Kerala’s traditions are catered to their experience. The festival reaches its peak on Guruvayur Ekadasi. On this day, musicians pay homage by singing favorite compositions of Chembai and the Pancharatna Kritis of Thyagaraja, the revered veteran in Carnatic music Guruvayur Devaswom (2023).

 

1.1.    MEmorable tourism experience

Memorable tourism experiences in cultural events or festivals are formed through engagements, influencing evaluation and emotional connection, with visitor interaction regulating these effects Yin et al. (2023). Distinctiveness in cultural hallmark events positively influences memorable experiences, enhancing subjective well-being Chiengkul et al. (2023). Memorable cultural experiences are purposively reconstructed by visitors, influenced by quality, cultural interactions, authenticity, and engagement with attractions, enhancing overall travel memories Seyfi et al. (2020). Memorable tourism experiences are found to have a positive effect on visitors’ satisfaction, increasing the intention to revisit and their willingness to recommend cultural and heritage destinations Riptiono et al. (2023).

 

1.2. MEMORABLE CULTURAL EXPERIENCE

Memorable Cultural Experience can contribute to Emotional Wellbeing Bellocchi et al. (2017) and Indian Cultural Diversity provide experiences that enrich our lives, creating positivity in terms of affect and cognition Khosla (2014). Thus, studies suggest that memorable cultural experiences contribute to emotional wellbeing by aligning with culturally normative emotions, fitting cultural emotion norms, and enriching lives through positive affect and cognition.

In this realm of exploration, every encounter is an opportunity to broaden your perspectives and forge connections that transcend borders. The allure of memorable cultural experiences lies not only in the destinations but in the profound impact they leave on the traveler. Picture yourself amidst the spirited festivities of a local cultural festival, where the air is charged with infectious energy and the streets come alive with traditional music and dance. Envision the moment when you stand in awe before architectural marvels that stand as testaments to the genius of bygone civilizations, each stone telling a story of triumphs and tribulations. This is the magic of cultural immersion – a transformative journey that transcends the ordinary and elevates the act of travel into an art form.

Cultural influences play a significant role in shaping memorable tourism experiences Zare (2019). Factors such as  engagement, attractions, authenticity, atmospherics, and quality of service are identified to be contributing to the memories of cultural tourism and related experiences Seyfi et al. (2020).Visitor engagement and cultural contact/connection are key in creating memorable experiences Chen & Rahman (2018). This signifies the prominence of exploring the memorable cultural experience at the ‘Heaven on Earth’ Seth (2012) where cultural perfections in music meets the divine environment.

Understanding the elements that elevate an experience from ordinary to extraordinary is a key area of investigation. This may include analyzing the role of local communities, tour operators, and cultural institutions in crafting meaningful interactions. By identifying and enhancing these factors, destinations can curate experiences that resonate with travelers and contribute positively to their cultural understanding.

Unravelling the relationship between the quality of cultural engagements and visitor satisfaction can guide destination management strategies. Additionally, understanding how these experiences influence repeat visits and word-of-mouth recommendations provides valuable insights for sustainable destination development.

In the rapidly evolving landscape of tourism, exploring innovative ways to facilitate meaningful cultural interactions becomes paramount. Incorporating technology, such as virtual reality or interactive applications, can offer a bridge between traditional cultural experiences and modern preferences.

The emotional resonance created by Memorable Cultural Experiences is a hallmark of their essence. Beyond the mere acquisition of knowledge about a culture, these experiences evoke powerful emotions that linger in the memory of travelers. Whether it's the joy of participating in a traditional dance, the awe inspired by a historical monument, or the taste of local cuisine, these emotional connections become enduring narratives that define the richness of the travel experience. In essence, MCE becomes a catalyst for emotional bonding between the traveler and the destination.

Studies on memorable experiences would outline the dimensions of the experience and the policy/managerial implications of the destination and event marketers are huge herewith. The physical and social context in which a cultural experience unfolds shapes its memorability. Cultural events, festivals, and immersive environments provide a rich backdrop that enhances the overall experience. The role of context extends beyond the immediate setting, encompassing historical, political, and socio-economic factors that contribute to the nuanced understanding of a culture Abbasian et al. (2021), Agrusa (2013), Al-Azzam et al. (2022), Babu & Vineeth (2023), Kim (2014a), Kim (2022), Kim & Jang (2016), Lakshmi & Vineeth (2019), Narayanan et al. (2024), Neena & Vineeth (2018), Sreetha et al. (2018), Yin et al. (2023).

 

1.3. Research QUESTION

Multiple studies are found to assess the Memorable Tourism Experience; along with the antecedents or drivers or travel intentions and outcomes Akhshik et al. (2022), Babu & Vineeth (2023), Coudounaris & Sthapit (2017), Dagustani et al. (2017), Kim (2010), Kim (2014b), Kim (2018), Kim (2022), Merina & Vineeth (2023), Narayanan et al. (2024), Seyfi et al. (2020), Tiwari et al. (2022), Vineeth (2014). Yet, question arises to the specific domain of cultural events as to “What are the dimensions of Memorable Cultural Experience?”

 

1.4. research objective

The research aims to explore and identify the dimensions of Memorable Cultural Experience.

 

2. research methodology

The study employs a quantitative design with a survey questionnaire used against the population of visitors of Chempai Music Festival. As the Guruvayur temple is a premier tier pilgrimage destination, careful screening was done to identify the respondents who actually intended to attend the music festival too. The instrument contained mostly closed ended Likert scale items to explore and identify the dimensions of Memorable Cultural Experience measured in a 7 point scale. The initial pool of scale items were drawn from comprehensive literature review on memorable tourism experiences with special reference to cultural experience Baruca & Čivre (2022), Chandralal & Valenzuela (2015), Dede (2013), Efstathiou & Zippelius (2019), Jelincic & Senkic (2017), Kim (2010), Kim & Jang (2016), Tikhonova et al. (2018).

The respondents for the study were selected from the visitors of the festivals ensuring their interest in musical and cultural events. From the initial dataset generated of 586 responses, multivariate outliers were removed and a final sample (N = 530) respondents completely satisfying the data cleaning procedure is used for the study.   Any sample above 384 is found to be adequate at 95% CI and 5% ME Bukhari (2020), Krejcie & Morgan (1970).

Sample characteristics like gender, education, occupation can be observed from Table 1. It could also be found that the average age of sample visitors was 38 and most of them (73.6%) have been visiting the Chempai Music Festival for more than two years/seasons. 57.3% spent more than two hours at the event in a single visit (See Table 1). The demographics are found eligible for a representative inference on the population under consideration.

 

2.1.    CONTENT VALIDITY

Scale items to measure Memorable Cultural Experience was arrived at after extensive literature in the subfield of Memorable Tourism Experience with special reference to cultural experience. After a focus group interview with few regular visitors of different demographics, desirable modifications were made to the structuring of the items. The pool of items were thus referred to a panel of experts who suggested few modifications in the operationalization and linguistics of the measurement scale items. All the desirable modifications were carried out and a final pool of 11 items were asked to the visitors to respond in a 7 point Likert scale [7 for Strong Agreement to the statement and 1 for Strong Disagreement to the statement]. The resulting data is found to provide acumens to the dimensions of Memorable Cultural Experience.

 

3. Data analysis

Scale development in tourism research is a multifaceted endeavor that demands meticulous attention to detail, statistical rigor, and a nuanced understanding of the unique factors influencing tourist perceptions and behaviors. As we delve into the data analysis section, our primary objective is to unveil the intricate steps undertaken to refine and validate the measurement scales designed to capture the diverse facets of tourist experiences. This involves a judicious integration of qualitative insights and quantitative methodologies, synergizing the productivity of qualitative data with the accuracy of quantitative analysis and interpretations. Data analysis section serves as the crucible where the raw data, meticulously collected from diverse sources, undergoes a transformative process. This portion of a scale development paper serves as the empirical backbone of the study with rigorous statistical procedures, validating the soundness and utility of the measurement instrument. By systematically evaluating reliability and validity, researchers establish the foundation for confident and meaningful interpretation of the scale's outcomes, contributing to the knowledge within the domain. The analysis of the collected data has been conducted in a sequence of steps involving Content Validity, followed by Reliability Analysis which is then succeeded by Exploratory Factor Analysis and finally validated with Confirmatory Factor Analysis. 

 

3.1.    reliability analysis

Reliability refers to the consistency of a measure over time, across measurement scale items and across different researches (domains/populations); aims to assess whether the items measure what it is intended to measure. A Cronbach’s Alpha above 0.70 (See Table 2) is obtained from the analysis and items are found to be eligible for further procedures Nunnally (1978).

 

3.2. exploratory factor analysis

Exploratory factor analysis (EFA) aids in identifying the key factors that lead to the observed variance in a dataset. This method is particularly valuable in the developing stages of research of a domain or problem and when the structure of the underlying constructs is desired to be well-established Cudeck (2000), Hair et al. (2010). Among the methods, Principal Component Analysis being prominent, the same is applied here with varimax rotation and factor loadings that are found to be lesser than 0.40 are suppressed for convenience.

The KMO Measure of Sampling Adequacy is obtained as 0.801 (See Table 3) and found to be meritorious Kaiser (1970), Kaiser & Rice (1974). The Bartlett's test of Sphericity calculates the likelihood that there are statistically significant correlations among at least some of the variables studied in a dataset based on the correlation matrix generated therefrom and also multivariate normality of the set of distributions, a prerequisite for factor analysis to work and produced a p value < 0.001; affirming that there is no identity matrix and it would be eligible to proceed with Factor Analysis Bartlett (1951).

Principal Component Analysis is employed to extract the factors and 3 factors with Eigen values greater than 1 are extracted with 75.56% cumulative variance explained (See Table 4). The Communalities of the original measures ranged from 0.685 to 0.862. The Rotated Component Matrix identified three factors viz., Novelty & Authenticity, Emotional Connection and Cultural Learning & Value (See Table 5).

These three dimensions collectively form a robust foundation for our scale, encompassing the diverse facets of memorable cultural experiences. The identification of these dimensions not only advances our understanding of the underlying constructs but also provides a practical and parsimonious tool for researchers and practitioners alike. As we move forward, these dimensions will serve as guiding pillars, informing the subsequent confirmatory factor analysis and contributing to the refinement and validation of our measurement scale for memorable cultural experiences in the context of tourism.

 

3.3. confirmatory factor analysis

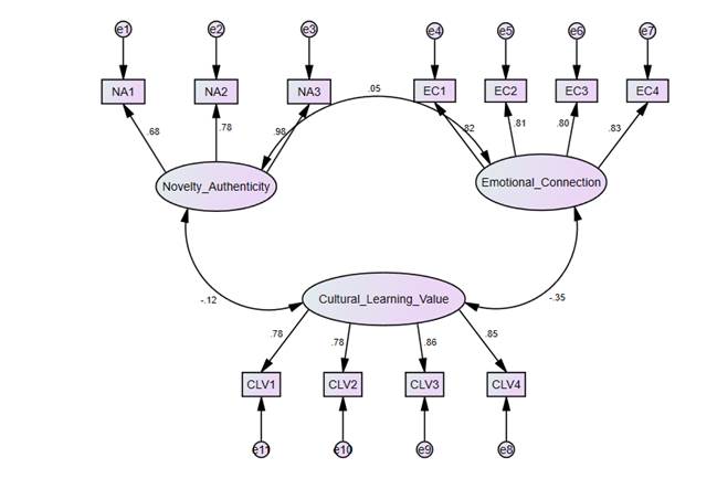
Confirmatory Factor Analysis (C.F.A.) is a multivariate statistical technique to evaluate how meritorious the measured variables represent the number of constructs identified Hair et al. (2010). The 3 identified factors in EFA are further validated through CFA (See Exhibit 1). Table 7 shows the Model Fit Measures of CFA for Construct Validity. The Root Mean Square Error of Approximation (R.M.S.E.A.) apprises the goodness of fit and a value lesser than 0.05 conveys good fit Browne & Cudeck (1992). The Root Mean Square Residual (R.M.R.) value is lesser for good models Tabachnick & Fidell (2006). Goodness of Fit Index (G.F.I.) and Adjusted Goodness of Fit Index (A.G.F.I.) shall be more than 0.95 Tanaka & Huba (2011). The Normed Fit Index (N.F.I.) shall be found good is more than 0.90 Bollen (1989). Comparative Fit Index (C.F.I.) shall be above 0.90 McDonald & Marsh (1990). Thus, the measures are proved to possess Construct Validity. The Model Validity Measures are depicted in Table 6. Convergent Validity shows the extent of consistency accomplished by the measurement instrument and is proved when the AVE values are greater than 0.50 Hair (2006).  As seen in Table 6, the Variance Explained is greater than the squared correlations between constructs and hence the instruments is found to possess Discriminant Validity Fornell & Larcker (1981). All the constructs are found to possess Composite Reliability with a Cronbach’s Alpha value above 0.70 Nunnally (1978). The CFA thus establishes the Memorable Cultural Experience Scale as a reliable and valid instrument which play a major role in understanding and advancing the behaviour studies of visitors’ experience at cultural events. The overall model fit indices indicate a robust and reliable factor structure, bolstering the credibility of the scale.

 

3.4. factors identified as dimensions of memorable cultural experience

The first factor identified is named as “Novelty & Authenticity” consisting of 3 items (NA1, NA2 and NA3) such as:  “The experience provided opportunities to engage with unique and novel aspects of the local culture and musical concerts” (0.828), “The experience provided an authentic representation of the music festival” (0.867) and “I felt a strong connection to the unique character and identity of the destination” (0.926). The highest factor loading was for NA3 and lowest was for NA1; and this factor explains 27.34% of the total variance.

The second factor identified is named as “Emotional Connection” consisting of 4 items (EC1, EC2, EC3 and EC4) such as: “I felt emotionally connected to the cultural aspects encountered during the trip” (0.861), “I actively participated in cultural activities and interactions with the veterans” (0.850), “The cultural experience left me with positive emotions and feelings” (0.844) and “The cultural experience was memorable and stands out in my memory” (0.858). The highest factor loading was for EC1 and lowest was for EC3; and this factor explains 27.24% of the total variance.

The third factor identified is named as “Cultural Learning & Value” consisting of 4 items (CLV1, CLV2, CLV3 and CLV4) such as: “The experience enhanced my understanding and knowledge regarding classical/carnatic music” (0.837), “I believe the cultural experience was worth the time and money invested” (0.826), “The cultural experience engaged my senses and added value” (0.872) and “I had meaningful interactions and cultural experience” (0.882). The highest factor loading was for CLV4 and lowest was for CLV2; and this factor explains 20.96% of the total variance.

The final scale items used to measure the dimensions are reported in Table 8.

 

4. discussion

Afar its musical grandeur, the Chempai Music Festival surpasses the realm of mere auditory delight, weaving an intricate tapestry of memorable experiences for attendees. From the enchanting melodies that linger in the air to the camaraderie forged amidst the gathering throngs, each moment becomes a vignette etched in the collective memory of participants, resonating long after the final notes have faded into the night. Such events are found rare and the venue makes it divine. Rooted in the rich cultural soil of Kerala, the Chempai Music Festival serves as a vibrant canvas where tradition intertwines with musical expedition.

Recent acumen in tourism research in the cultural events urge for a shorter versions of measuring Memorable Cultural Experience, nevertheless to point out the methodological, evidence and population gaps addressed by the researcher Jacobs (2011), Kim & Kaewnuch (2018), Kim (2018), Miles (2017), Mueller-Bloch & Kranz (2015), Robinson et al. (2011). The measurement tool exhibits a significant advantage in its comprehensive nature, encompassing different aspects of the visitor’s experience. By integrating elements like Novelty & Authenticity, Emotional Connection, and Cultural Learning & Value, the tool establishes a thorough framework for evaluating the depth of cultural interactions. This holistic strategy is crucial, recognizing that memorable cultural experiences are intricate and multifaceted occurrences that extend beyond simple visual cues or surface-level engagement.

Practitioners, including destination managers and cultural institutions, can utilize the scale as a valuable tool to assess and enhance the cultural tourism offerings, ultimately enriching the overall visitor experience. As the landscape of tourism research continues to evolve, there are promising avenues for future exploration. Researchers may delve deeper into the specific elements that contribute to an experience found memorable, considering factors such as cultural authenticity therein, interaction with locals, and the impact of technology. Cross-cultural validations of the scale on a later stage could offer insights into the universal and culturally specific aspects of Memorable Cultural Experiences (MCE).

The brevity of the scale does not compromise its precision; rather, it exemplifies a strategic and innovative approach to capturing the essence of MCE. The succinct nature of the scale is particularly noteworthy for its ability to reduce respondent burden without sacrificing the depth of measurement. This not only enhances the practicality of data collection in diverse tourism settings but also addresses the growing demand for efficient and respondent-friendly survey instruments. Furthermore, there is an ardent demand for smaller versions of measurement tools to dimensions of MCE.

One of the key breakthroughs lies in the scale's adept fusion of breadth and depth in measuring the multifaceted dimensions of memorable cultural experiences. By distilling the intricacies of cultural encounters into a concise set of items, the scale maintains a high level of sensitivity to the nuances inherent in these experiences. It surpasses the limitations of traditional lengthy scales by embracing a streamlined yet comprehensive approach, facilitating quicker data acquisition without sacrificing the richness of the information obtained.

The insights of the study is found to be aligned with relevant tourism experience studies related to cultural events Dede (2013), Kim & Jang (2016), Merina & Vineeth (2023), Seyfi et al. (2020), Zare (2019) though specific studies are found to be limited and the present celebrated event has not been studied at large at all. Novelty & Authenticity, Emotional Connection and Cultural Learning & Value as identified herein as the dimensions of memorable cultural experience provide a distinctive approach to learn and understand the same.

 

5. conclusion and theoretical contributions

In the kaleidoscopic scenery of tourism, where each destination unfurls its own unique textile of experiences, the development and validation of the scale for Memorable Cultural Experience stand as a beacon illuminating the path towards deeper understanding and appreciation. Rooted in the vibrant milieu of the Chempai Music Festival at Guruvayur, the journey has been marked by moments of insight, discovery, and scholarly inquiry.

The theoretical contributions of the measurement tool lie in its adoption of a multidimensional framework, holistic approach to experience, acknowledgment of subjectivity, emphasis on authenticity and learning, and the integration of qualitative and quantitative methodologies. These contributions not only enhance the theoretical foundations of cultural tourism but also provide a framework for further exploration and refinement of concepts in this dynamic and evolving field.

The present research throws light to the dimensions of a much interesting concept in tourism viz., Memorable Cultural Experience (MCE) by integrating the elements of novelty, authenticity, emotional connection, cultural learning and value. This would further enrich the better conceptualization of future research Ravitch & Riggan (2016).

Contributing to the crescendo of discovery and delight defines tourism in a broad sense and cultural experiences could further be explored into accommodate cross cultural venues, regions and communities at large.

 

6. ethical considerations

Every participant has given their informed consent, ensuring the preservation of participants' anonymity. The generated data is solely academic, and the research adheres to all ethical standards applicable to human subjects.

 

7. limitations

While the measurement tool has its merits, it is not exempt from shortcomings. Depending on self-reported data introduces the possibility of response bias, wherein participants may offer answers that align with social expectations or find it challenging to articulate their experiences accurately. Furthermore, the tool might not entirely grasp the dynamic and evolving essence of cultural experiences, given their inherently subjective and context-dependent nature.

 

CONFLICT OF INTERESTS

None. 

 

 

 

ACKNOWLEDGMENTS

Support of the respondents to the enquiry is duly acknowledged. There has not been any funding support for the present research work.

 

REFERENCES

Abbasian, S., Benyamine, I., & Lundberg, A. (2021). Festival Venue that Makes Sense- A Study of Skansen Arena in Stockholm. Cogent Social Sciences, 7(1). Scopus. https://doi.org/10.1080/23311886.2021.1886652

Agrusa, J. (2013). The Role of Festivals and Events in Community Tourism Destination Management. In Community Destination Management in Developing Economies (pp. 181–192). Taylor and Francis, Scopus. https://doi.org/10.4324/9780203826546

Akhshik, A., Rezapouraghdam, H., Ozturen, A., & Ramkissoon, H. (2022). Memorable Tourism Experiences and Critical Outcomes Among Nature-Based Visitors: A Fuzzy-Set Qualitative Comparative Analysis Approach. Current Issues in Tourism. Scopus. https://doi.org/10.1080/13683500.2022.2106196

Al-Azzam, M. H., Mohamed, A. E., & Chiu, L. K. (2022). The Influence of Memorable Festival Experiences on Arab Visitors’ Revisit Intention to the Jerash Festival of Culture and Arts (Jfca) in Jordan. Geojournal of Tourism and Geosites, 44(4), 1359–1368. Scopus. https://doi.org/10.30892/gtg.44422-954

Anaya, G. J., & Lehto, X. (2023). ‘Moments to be Had’: Understanding the Experience of Memorable Tourism Moments. Tourism Management, 95. https://doi.org/10.1016/j.tourman.2022.104674

Avel, T. (2022). Economic Impact 2022. WTTO.

Babu, S., & Vineeth, K. M. (2023). Antecedents to Ethical Investing Behaviour. AIP Conference Proceedings, 2773(1), 030008. https://doi.org/10.1063/5.0138930

Bandyopadhyay, R., & Nair, B. B. (2019). Marketing Kerala in India as God’s Own Country! For Tourists’ Spiritual Transformation, Rejuvenation and Well-Being. Journal of Destination Marketing & Management, 14. https://doi.org/10.1016/j.jdmm.2019.100369

Bartlett, M. S. (1951). A Further Note on Tests of Significance in Factor Analysis. British Journal of Statistical Psychology, 4(1), 1–2. https://doi.org/10.1111/j.2044-8317.1951.tb00299.x

Baruca, P. Z., & Čivre, Ž. (2022). Unique Destination Attributes as a Basis of Tourism Experience. Academica Turistica, 15(3), 349–362. Scopus. https://doi.org/10.26493/2335-4194.15.349-362

Bellocchi, A., Quigley, C. F., & Otrel-Cass, K. (2017). Emotions, Aesthetics and Wellbeing in Science Education: Theoretical Foundations. In A. Bellocchi, C. Quigley, & K. Otrel-Cass (Eds.), Exploring Emotions, Aesthetics and Wellbeing in Science Education Research (pp. 1–6). Springer International Publishing. https://doi.org/10.1007/978-3-319-43353-0_1

Bollen, K. A. (1989). A New Incremental Fit Index for General Structural Equation Models. Sociological Methods & Research, 17(3), 303–316.  

Browne, M. W., & Cudeck, R. (1992). Alternative Ways of Assessing Model Fit. Sociological Methods & Research, 21(2), 230–258. https://doi.org/10.1177/0049124192021002005

Bukhari, S. A. (2020). Bukhari Sample Size Calculator 2020 [Dataset]. https://doi.org/10.13140/RG.2.2.27730.58563

Carpenter, C. J. (2023). A Pedagogical and Analytical Study of the Carnatic Saxophone Performance Tradition of Kadri Gopalnath—ProQuest [University of South Carolina].  

Chakravarty, K. K. (2009). Foreword, Sacred Complex of the Guruvayur Temple. Sacred Complex of the Guruvayur Temple by P.R.G. Mathur Published by IGNCA, New Delhi and Aryan Books International, New Delhi.  

Chandralal, L., & Valenzuela, F.-R. (2015). Memorable Tourism Experiences: Scale Development. Contemporary Management Research, 11(3), Article 3. https://doi.org/10.7903/cmr.13822

Chen, H., & Rahman, I. (2018). Cultural Tourism: An Analysis of Engagement, Cultural Contact, Memorable Tourism Experience and Destination Loyalty. Tourism Management Perspectives, 26, 153–163. https://doi.org/10.1016/j.tmp.2017.10.006

Chiengkul, W., Meeprom, S., & Getnet, H. (2023). Creating Memorable Experiences of Cultural Hallmark Event in Thailand. Tourism and Hospitality Research, 23(2), 141–154. https://doi.org/10.1177/14673584221085456

Coudounaris, D. N., & Sthapit, E. (2017). Antecedents of Memorable Tourism Experience Related to Behavioral Intentions. Psychology and Marketing, 34(12), 1084–1093. Scopus. https://doi.org/10.1002/mar.21048

Cudeck, R. (2000). 10—Exploratory Factor Analysis. In H. E. A. Tinsley & S. D. Brown (Eds.), Handbook of Applied Multivariate Statistics and Mathematical Modeling (pp. 265–296). Academic Press. https://doi.org/10.1016/B978-012691360-6/50011-2

Dagustani, D., Kartini, D., Oesman, Y. M., & Kaltum, U. (2017). Memorable Tourism Experience. Antecedents and Destination Image Outcome in Indonesia. Journal of Environmental Management and Tourism, 8(8), 1482–1493. Scopus. https://doi.org/10.14505/jemt.v8.8(24).04

Damodaran, A. (2018). Performing Arts: Critical Governance Issues. SSRN Electronic Journal. https://doi.org/10.2139/ssrn.3168458

Dede, A. (2013). An Exploration of the Motivating Cultural Experience Factors That Determine a Holiday Destinations’ Selection and Respective Competitiveness. SAGE Open, 3(4). Scopus. https://doi.org/10.1177/2158244013511829

Efstathiou, A., & Zippelius, E. (2019). Cultural Tourism, Destination Branding and Spatial Experience Design: Contemporary Hospitality Design in Cyprus. In Kavoura A., Kefallonitis E., & Giovanis A. (Eds.), Springer Proc. Bus. Econ. (pp. 791–799). Springer Science and Business Media B.V.; Scopus. https://doi.org/10.1007/978-3-030-12453-3_91

Fornell, C., & Larcker, D. F. (1981). Evaluating Structural Equation Models with Unobservable Variables and Measurement Error. Journal of Marketing Research, 18(1), 39–50. https://doi.org/10.2307/3151312

Gaskin, J., & Lim, J. (2016a). Master Validity Tool [Computer Software].  

Gaskin, J., & Lim, J. (2016b). Model Fit Measures. Gaskination’s StatWiki, 37(3), 814–822.  

Ghilgith, K. (2020). Nagaswara Tradition in South Indian Music System [PhD Thesis, University of Calicut].  

Guruvayur Devaswom (Director). (2023, November 8). Chembai Sangeetholsavam 2023.  

Hair, J. F. (2006). Marketing Research Within a Changing Information Environment. (No Title).  

Hair, J. F., Black, W. C., & Babin, B. J. (2010). Multivariate Data Analysis: A Global Perspective. Pearson Education.  

Jacobs, R. L. (2011). Developing a Research Problem and Purpose Statement. In T. S. Rocco & T. G. Hatcher (Eds.), The Handbook of Scholarly Writing and Publishing (pp. 125–142). Jossey-Bass.

Jelincic, D. A., & Senkic, M. (2017). Creating a Heritage Tourism Experience. The Power of the Senses. Etnoloska Tribina, 47(40), 109–126. Scopus. https://doi.org/10.15378/1848-9540.2017.40.03

Kaiser, H. F. (1970). A Second Generation Little Jiffy. Psychometrika, 35(4), 401–415. https://doi.org/10.1007/BF02291817

Kaiser, H. F., & Rice, J. (1974). Little Jiffy, Mark Iv. Educational and Psychological Measurement, 34(1), 111–117. https://doi.org/10.1177/001316447403400115

Kerala Tourism. (2007). Traditional Festivals of Kerala. Kerala Tourism.  

Kerala Tourism. (2017). Festival Info | Festival Information System.  

Khosla, M. (2014). Are Cultural Experiences Positive. TIJ’s Research Journal of Social Science & Management - RJSSM.  

Kim, J.-H. (2010). Development of a Scale to Measure Memorable Tourism Experiences. European Journal of Tourism Research, 3(2), 123–126. Scopus.  

Kim, J.-H. (2014a). The Antecedents of Memorable Tourism Experiences: The Development of a Scale to Measure the Destination Attributes Associated with Memorable Experiences. Tourism Management, 44, 34–45.  https://doi.org/10.1016/j.tourman.2014.02.007

Kim, J.-H. (2014b). The Antecedents of Memorable Tourism Experiences: The Development of a Scale to Measure the Destination Attributes Associated with Memorable Experiences. Tourism Management, 44, 34–45. https://doi.org/10.1016/j.tourman.2014.02.007

Kim, J.-H. (2018). The Impact of Memorable Tourism Experiences on Loyalty Behaviors: The Mediating Effects of Destination Image and Satisfaction. Journal of Travel Research, 57(7), 856–870. Scopus. https://doi.org/10.1177/0047287517721369

Kim, J.-H. (2022). Destination Attributes Affecting Negative Memory: Scale Development and Validation. Journal of Travel Research, 61(2), 331–345.  https://doi.org/10.1177/0047287520977725

Kim, J.-H., & Jang, S. (2016). Memory Retrieval of Cultural Event Experiences: Examining Internal and External Influences. Journal of Travel Research, 55(3), 322–339. Scopus. https://doi.org/10.1177/0047287514553058

Kim, Y. H., & Kaewnuch, K. (2018). Finding the Gaps in Event Management Research: A Descriptive Meta-Analysis. Event Management, 22(3), 453–467.  https://doi.org/10.3727/152599518X15258922919408

Krejcie, R. V., & Morgan, D. W. (1970). Determining Sample Size for Research Activities. Educational and Psychological Measurement, 30(3), 607–610. https://doi.org/10.1177/001316447003000308

Lakshmi, M., & Vineeth, KM. (2019). Consumers Attitude towards Nostalgic Food and Restaurants. Journal of the Gujarat Research Society, 21(5), Article 5.  

M.P., G., & Keskar, Y. (2015). Environmental Status Assessment of Guruvayur Temple Precincts in Kerala, India. International Journal of Innovative Research in Science, Engineering and Technology, 04(01), 18872–18879. https://doi.org/10.15680/IJIRSET.2015.0401040

McDonald, R. P., & Marsh, H. (1990). Choosing a Multivariate Model: Noncentrality and Goodness of Fit.  

Merina, N., & Vineeth, K. M. (2023). Antecedents to Travel Intention and Event Experience of Kochi Muziris Biennale. AIP Conference Proceedings, 2773(1), 030005. https://doi.org/10.1063/5.0139107

Miles, D. (2017). A Taxonomy of Research Gaps: Identifying and Defining the Seven Research Gaps. 1, 1.

Mueller-Bloch, C., & Kranz, J. (2015). A Framework for Rigorously Identifying Research Gaps in Qualitative Literature Reviews.  

Nambudiri, P. P. N. (2022). Bhakti Cult in Kerala.

Narayanan, A., VS, A., & KM, Vineeth. (2024). Awareness and Perception Towards Critical Illness Care Insurance. Asian Journal of Management, 15(1), 45–50. https://doi.org/10.52711/2321-5763.2024.00008

Neena, M., & Vineeth, KM. (2018). Consumer Awareness   Telematics in Insurance. Research Review International Journal of Multidisciplinary.  

Nunnally, J. C. (1978). Psychometric Theory (2nd Ed). Mcgraw Hill Book Company.  

Olukole, T. O. (2022). Residents’ Perceptions of Religious Tourism and its Socio- Economic Impacts on Host Communities: A Study of Redemption Camp, Mowe, Ogun State, Nigeria. https://doi.org/10.21427/VBBM-ZJ12

Paul, P. T. (2016). Algal Diversity of Guruvayur Temple Pond, Thrissur District, Kerala. International Journal of Advanced Life Sciences, 9(3), 302–306.

Ravitch, S. M., & Riggan, J. M. (2016). Reason & Rigor: How Conceptual Frameworks Guide Research (2nd Ed). SAGE Publications, Inc.

Richmond, F. (1971). Some Religious Aspects of Indian Traditional Theatre. The Drama Review, 15(2), 122–131. https://doi.org/10.2307/1144630

Rinschede, G. (1992). Forms of Religious Tourism. Annals of Tourism Research, 19(1), 51–67.  https://doi.org/10.1016/0160-7383(92)90106-Y

Riptiono, S., Wibawanto, S., Raharjo, N. I., Susanto, R., Syaputri, H. S., & Bariyah, B. (2023). Tourism Revisit and Recommendation intention on Heritage Destination: The Role of Memorable Tourism Experiences. Journal of International Conference Proceedings, 6(1), Article 1. https://doi.org/10.32535/jicp.v6i1.2244

Robinson, K. A., Saldanha, I. J., & Mckoy, N. A. (2011). Frameworks for Determining Research Gaps During Systematic Reviews. Agency for Healthcare Research and Quality (US).  

Seth, P. (2001). The Divine Frenzy: Hindu Myths and Rituals of Kerala. Westzone Publishing, Limited.  

Seth, P. (2008). Heaven on Earth: The Universe of Kerala’s Guruvayur Temple. Niyogi Books.  

Seth, P. (2012). Heaven on Earth: The Universe of Kerala’s Guruvayur Temple (Revised Ed.). Niyogi Books.

Seyfi, S., Hall, C. M., & Rasoolimanesh, S. M. (2020). Exploring Memorable Cultural Tourism Experiences. Journal of Heritage Tourism, 15(3), 341–357. https://doi.org/10.1080/1743873X.2019.1639717

Sharpley, R., & Sundaram, P. (2005). Tourism: A Sacred Journey? The Case of Ashram Tourism, India. International Journal of Tourism Research, 7(3), 161–171. https://doi.org/10.1002/jtr.522

Shyju, P. J., Vinodan, A., Meera, S., & Kokkranikal, J. (2021). Women’s Experiences in Religious Tourism: An Investigation into Women’s Involvement in Sabarimala Pilgrimage, Kerala. International Journal of Religious Tourism and Pilgrimage, 9(5), 13–25. Scopus. https://doi.org/10.21427/X60X-P920

Sreetha, A., Sulfiya, K.S., & Vineeth, K.M. (2018). Consumers Perception towards Telematics in Insurance. Research Journal of Humanities and Social Sciences, 9(3), 657–662. https://doi.org/10.5958/2321-5828.2018.00110.9

Sriraman, T. (2014). Role of Temples of Southern India in Preserving and Propagating Classical Music Through its Architecture Iconography and Art Forms [PhD Thesis, Kannur University].  

Tabachnick, B. G., & Fidell, L. S. (2006). Using Multivariate Statistics (5th Ed.). Pearson College Div.  

Tanaka, J., & Huba, G. (2011). A Fit Index for Covariance Structure Under Arbitrary GLS Estimation. British Journal of Mathematical and Statistical Psychology, 38, 197–201. https://doi.org/10.1111/j.2044-8317.1985.tb00834.x

Tikhonova, D., Kim, S., & Butler, G. (2018). Conceptualising Challenging Experiences and Post-Travel Culture Involvement. In Tour. Hosp. Event. Manag. (pp. 111–128). Springer Nature, Scopus. https://doi.org/10.1007/978-3-319-78553-0_8

Tiwari, A. V., Bajpai, N., Singh, D., & Vyas, V. (2022). Antecedents of Hedonism Affecting Memorable Tourism Experience (MTE) Leading to Revisit Intention in Tourists. International Journal of Tourism Cities, 8(3), 588–602. Scopus. https://doi.org/10.1108/IJTC-03-2021-0043

Vijayakrishnan, S., & Sinha, A. (2019). Human-Captive Elephant Relationships in Kerala: Historical Perspectives and Current Scenarios. Gajah, 50, 29–35.  

Vineeth, KM. (2014). The Role and Impact of Non Governmental Organizations in Entrepreneurship Development in Kerala [PhD Thesis, Mahatma Gandhi University].  

Yin, Z., Huang, A., & Wang, J. (2023). Memorable Tourism Experiences’ Formation Mechanism in Cultural Creative Tourism: From the Perspective of Embodied Cognition. Sustainability, 15(5), Article 5. https://doi.org/10.3390/su15054055

Zare, S. (2019). Cultural Influences on Memorable Tourism Experiences. Anatolia, 30(3), 316–327. https://doi.org/10.1080/13032917.2019.1575886

 

APPENDICES

Table 1

Table 1 Sample Characteristics

Variable

Category

Count

Percentage

Gender

Male

278

52.5

Female

252

47.5

Education

Below Graduation

154

29.1

Degree/ Graduation/Diploma

149

28.1

Post-Graduation

124

23.4

Professional Course

103

19.4

Occupation

Student

71

13.4

Government Employee

51

9.6

Private Sector Employee

112

21.1

Agriculturist

28

5.3

Business

90

17.0

Professional

77

14.5

Unemployed / Retired

111

20.9

Region of Residence

Urban

264

49.8

Rural

266

50.2

Experience at Chempai Music Festival

Less than 2 year

140

26.4

2-5 Years

146

27.5

5-7 Years

135

25.5

More than 7 years

109

20.6

Time Spent on Average on a Visit at Chempai Music Festival

Less than 1 hour

116

21.9

1-2 hours

110

20.8

2-3 Hours

102

19.2

3-4 Hours

109

20.6

More than 4 hours

93

17.5

Source Survey Data

 

Table 2

Table 2 Reliability Analysis

Cronbach’s Alpha

Number of Items

0.843

11

Source Computed from Survey Data

 

Table 3

Table 3 KMO Barlett’s Test

KMO Measure of Sampling Adequacy

0.801

Bartlett's Test of Sphericity

Approx. Chi-Square

3235.854

df

55

Sig.

< 0.001**

Source Computed from Survey Data   **Significant at 1%

 

Table 4

Table 4 Total Variance Explained

Component

Initial_Eigen_Values

Extraction Sums of Squared_Loadings

Rotation Sums of Squared_Loadings

Total

% of Variance

Cumulative %

Total

% of Variance

Cumulative %

Total

% of Variance

Cumulative %

1

4.012

36.474

36.474

4.012

36.474

36.474

3.007

27.340

27.340

2

2.306

20.962

57.436

2.306

20.962

57.436

2.997

27.244

54.584

3

1.994

18.127

75.563

1.994

18.127

75.563

2.306

20.964

75.548

4

0.496

4.513

80.076

5

0.418

3.803

83.879

6

0.416

3.782

87.661

7

0.339

3.083

90.744

8

0.335

3.043

93.787

9

0.262

2.382

96.168

10

0.227

2.061

98.230

11

0.195

1.770

100.000

Extraction Method Principal Component Analysis

Source Computed from Survey Data

 

 

Table 5

Table 5 Rotated Component Matrix

Component

Cultural Learning and Value

Emotional Connection

Novelty and Authenticity

NA1

0.828

NA2

0.867

NA3

0.926

EC1

0.861

EC2

0.850

EC3

0.844

EC4

0.858

CLV1

0.837

CLV2

0.826

CLV3

0.872

CLV4

0.882

Extraction Method Principal_Component_Analysis.

Rotation Method Varimax with Kaiser Normalization. Rotation converged in 5 iterations.

Source Computed from Survey Data

 

Table 6

Table 6 Model Validity Measures

CR

AVE

MSV

MaxR (H)

Novelty & Authenticity

Emotional Connection

Cultural Learning & Value

Novelty & Authenticity

0.858

0.673

0.015

0.961

0.821

Emotional Connection

0.888

0.664

0.126

0.888

0.053

0.815

Cultural Learning & Value

0.890

0.670

0.126

0.896

-0.121

-0.355

0.819

Source IBM AMOS Output using Master Validity Plugin Gaskin & Lim (2016a)

 

Table 7

Table 7 Model Fit Measures of CFA

Measure

Estimate

Threshold

Interpretation

C.M.I.N.

93.826

--

--

D.F.

41

--

--

C.M.I.N./D.F.

2.288

Between 1 and 3

***

C.F.I.

0.984

> 0.95

***

S.R.M.R.

0.027

< 0.08

***

R.M.S.E.A.

0.049

< 0.06

***

P.Close

0.511

> 0.05

***

G.F.I.

0.971

> 0.95

***

A.G.F.I.

0.953

> 0.95

***

N.F.I.

0.971

> 0.95

***

Source IBM AMOS Output using Model Fit Measures plugin Gaskin & Lim (2016b)

***Excellent Fit

 

Table 8

Table 8 Final Scale Items

Item Code

Item Label

Construct

NA1

The experience provided opportunities to engage with unique and novel aspects of the local culture and musical concerts

Novelty & Authenticity

NA2

The experience provided an authentic representation of the music festival

NA3

I felt a strong connection to the unique character and identity of the destination

EC1

I felt emotionally connected to the cultural aspects encountered during the trip

Emotional Connection

EC2

I actively participated in cultural activities and interactions with the veterans

EC3

The cultural experience left me with positive emotions and feelings

EC4

The cultural experience was memorable and stands out in my memory

CLV1

The experience enhanced my understanding and knowledge regarding classical/carnatic music

Cultural Learning & Value

CLV2

I believe the cultural experience was worth the time and money invested

CLV3

The cultural experience engaged my senses and added value

CLV4

I had meaningful interactions and cultural experience

 

Exhibit 1

Exhibit 1 CFA

Source IBM AMOS Output

 

 

Creative Commons Licence This work is licensed under a: Creative Commons Attribution 4.0 International License

© ShodhKosh 2024. All Rights Reserved.