ShodhKosh: Journal of Visual and Performing Arts
ISSN (Online): 2582-7472

EXPLAINABLE AI FOR CREATIVE MUSIC EDUCATION: VISUALIZING SOUND, PATTERNS, AND HARMONY FOR STUDENT LEARNING

Explainable AI for Creative Music Education: Visualizing Sound, Patterns, and Harmony for Student Learning

 

Tanvi Shukla 1, Swati Chaudhary 2, Pawan Wawage 3, Yogita Hambir 4, Aadil Ahmed Mantoo 5, Dr Preeti Pandurang Kale 6

 

1 Assistant Professor, School of Music, AAFT University of Media and Arts, Raipur, Chhattisgarh-492001, India

2 Professor, School of Business Management, Noida International University, Noida, Uttar Pradesh, India

3 Assistant Professor, Department of Information Technology, Vishwakarma Institute of Technology, Pune, Maharashtra, 411037, India

4 Assistant Professor, Department of Computer Engineering, Army Institute of Technology, Pune, Mh, India

5 Department of Computer Applications, CT University Ludhiana, Punjab, India

6 Assistant Professor, Department of Electronics and Computer Engineering, CSMSS Chh. Shahu College of Engineering, Chhatrapati Sambhajinagar, Maharashtra, India

 

A black and white image of a tree

AI-generated content may be incorrect.

A picture containing logo

Description automatically generated

ABSTRACT

In recent years, explainable artificial intelligence (XAI) has gained popularity as a means to enhance various fields, including education. This paper examines the use of XAI techniques in innovative music instruction.  The aim is to employ AI-powered models to visualise sound, rhythms, and harmony, which will let students grasp musical compositions more readily. Traditional song training is based closely on idea and bodily analysis, which gives little opportunity for hands-on gaining knowledge of. Adding XAI to song training equipment will help us to allow students to learn by using doing. This might permit extra hands-on, individualised learning for pupils. Creating photographs that depict complex musical systems encourages college students to engage with sound in a proper procedure, as a result improving their writing and listening capabilities. The method provides clear, real-time remarks on musical works highlighting the hyperlinks between concord, rhythm, and track. This method teaches college students the vital rhythms that underlie music whilst letting them experiment with own creations. Researchers are investigating how efficaciously this XAI approach enables students to understanding music principle, be innovative, and be inspired by using musical sports. Instructors assist students in grasp how diverse additives of track have interaction by way of photographs of musical styles, consequently enabling greater exciting and attractive getting to know. The findings, for instance, indicate using XAI in music courses helps to make learning more enjoyable, simpler, and customisable to fit the requirements of every student.

 

Received 14 May 2025

Accepted 16 September 2025

Published 25 December 2025

Corresponding Author

Tanvi Shukla, tanvi.shukla@aaft.edu.in  

DOI 10.29121/shodhkosh.v6.i4s.2025.6948  

Funding: This research received no specific grant from any funding agency in the public, commercial, or not-for-profit sectors.

Copyright: © 2025 The Author(s). This work is licensed under a Creative Commons Attribution 4.0 International License.

With the license CC-BY, authors retain the copyright, allowing anyone to download, reuse, re-print, modify, distribute, and/or copy their contribution. The work must be properly attributed to its author.

 

Keywords: Explainable AI, Creative Music Education, Music Visualization, Student Learning, AI in Education

 

 

 


 

1. INTRODUCTION

Consisting of Artificial intelligence (AI) into schooling has unfolded new avenues for enhancing the mastering experience, such as flexible and tailor-made techniques hitherto unthinkable. The old ways of coaching track were mostly educational and focused on making use of track theory to actual-global conditions. These techniques have given us a stable base, but they don't continually assist us be extra creative or apprehend tune styles greater intuitively.  To get around those troubles, an increasing number of humans want to use Explainable AI (XAI) to enhance music education. XAI gives students visible, natural, and engaging ways to work with sound, rhythms, and harmony. Music is a naturally complicated and vague way to describe yourself. 

 Figure 1

Explainable AI Framework for Creative Music Education: Visualizing Sound, Patterns, and Harmony

Figure 1 Explainable AI Framework for Creative Music Education: Visualizing Sound, Patterns, and Harmony

 

To fully grasp the complex connections between sound, rhythm, tune, and harmony, you need more than just academic information. Figure 1 shows explainable AI framework for creative music education visualization. You need to be able to "feel" and interact with music.  Because they don't get instant feedback or visual tools in standard classes, students often have trouble with vague ideas like harmony or rhythm. Additionally, students are often silent users of information rather than active creators and experimenters of creative ideas. This problem gets worse when students learn more complicated things like improvisation, complex harmony, or counterpoint, which need students to be able to see and interact with the material. In this example, the idea of Explainable AI is probably very essential Kladder (2021).  XAI strategies permit users look at how AI models arrive at certain conclusions, for this reason enabling them to grasp why they accomplish that. Song training may additionally benefit from XAI by allowing students to appreciation a way to bring together and interpret audio compositions. 

Our idea is a technique that lets students see how sound is built, thereby permitting those to apprehend more about track principle.  When portrayed in paperwork that can be comprehended Zhang and Yi (2021), students may also better grasp tough ideas like as concord, scales, chords, and rhythmic styles. in contrast to traditional techniques, this thrilling getting to know tool permits students to peer, pay attention, and regulate tune. This permits toddlers to perception how track is more absolutely constructed. The use of XAI to educate tune has many blessings, considered one of that is that it clarifies topics for the pupils. In a conventional classroom, students acquire the "what" and "how" of music, but they may not really grasp the "why" behind the decisions taken in music.  By showing students the mechanisms governing audio frameworks, XAI allows them to see how components logically fit together Zhao (2022), Chu et al. (2022). This openness not only improves learning but also allows students to use what they have acquired in innovative ways, therefore producing a more distinctive and individual method of making music.

 

2. LITERATURE REVIEW

2.1. Overview of AI applications in education

Many sectors have been revolutionised by artificial intelligence (AI), but one of the most fascinating areas for development is how it may be used in education.  AI may be used in several educational fields including customised learning, student engagement, assessment, and administrative tasks. One of the most fascinating applications is intelligent teaching systems. These systems assess student progress, provide each one tailored feedback using AI algorithms, and modify classes to meet their particular requirements Wang (2022), Yang and Nazir (2022). These systems provide particular answers, estimate where students may need further assistance, and employ machine learning to examine student data.  By changing to the many modes and speeds at which students learn, this flexible learning approach increases the efficacy and efficiency of teaching. AI-powered systems provide extra than merely tailored education. Additionally they assist in automated remarks, marking, and material era, which enables instructors do everyday tasks greater without problems. Natural language processing (NLP) reviews scholar work and gives immediate comments on their language, shape, and logic Ma et al. (2022). This increases schooling as well as getting to know performance. AI-powered technology has also been used to diagram areas for individuals to collaborate on initiatives, discussions, and occupations, therefore selling lively participation and essential notion. AI can also be used to offer actual-time insights that permit colleges and instructors to utilise records to guide selections, as a result enhancing the education and consequences of their youngsters. increasing utility of synthetic intelligence in training makes it apparent that era may additionally beautify gaining knowledge of, simplify access for more people, and open up progressive teaching strategies Moon and Yunhee (2022), Park (2022).

 

2.2. Existing studies on AI in music education

Though nevertheless exceptionally young within the difficulty of tune education, AI has already shown remarkable capability in improving studying methods and generating innovative methods to carry hard musical standards.  One of the key methods artificial intelligence is influencing song education is thru the improvement of smart tune teaching tools. Those structures which might be run by means of AI can evaluate a pupil's singing overall performance in real time and deliver the ones personalised feedback and pointers Wei et al. (2022). AI applications are utilized by structures like Smart Music to decide students' pitch, beat, and attitude, giving them distinctive records on how they could enhance. This real-time, information-pushed remark enables college student’s parent out where they want to improve and consciousness on certain components of their making a song abilities, which may be very essential for purchasing better. Further, AI has been used to assist humans write songs and improvise Yan (2022). Based on certain musical cues, AI models can make tunes, rhythms, and whole works. This can be used as a source of inspiration or as a way to learn.  In music theory classes, AI-based programs look at musical parts and show how ideas in music theory work visually, like chord progressions, scale degrees, and harmonic functions. Students can better understand complex ideas and how to use them in real-life writing with the help of these pictures Yang (2021). AI systems have also been used to help with ear training, rhythm training, and music analysis by giving students tasks and comments that are tailored to their specific learning needs.  Studies in this area show that AI-powered tools can improve basic skills, but they can also encourage creativity, critical thought, and a better understanding of music. Table 1 shows AI technique, application area, evaluation metric, and limitations summary.This means that music education can take on new forms.

Table 1

Table 1 Summary of Literature Review

AI Technique

Application Area

Evaluation Metric

Limitations

Machine Learning (ML)

Music Performance Feedback

Accuracy, Engagement

Limited genre diversity in dataset

Deep Learning (RNN, LSTM) Yoo et al. (2022)

Composition Assistance

Creativity, Originality

AI limitations in emotional depth of compositions

Generative Adversarial Networks (GAN)

Music Generation

Musical Coherence

Limited stylistic diversity

Neural Networks (CNN, RNN)

Music Theory Education

Conceptual Understanding

Requires strong computational resources

Deep Learning (CNN, LSTM) Xu and Zhao (2021)

Music Composition, Performance

Accuracy, Feedback Speed

Limited to classical music

AI-based Generative Models

Music Composition

Creativity, Originality

Lacks interactive elements for student engagement

Neural Networks (CNN)

Sound Synthesis

Audio Synthesis Quality

Focus on sound synthesis rather than music theory

Reinforcement Learning

Music Learning/Assessment

Student Progress

Limited adaptability for different learning paces

Decision Trees, Neural Networks

Music Theory Visualization

Visual Clarity, Conceptual Understanding

Lacks emotional depth in visualization

Machine Learning (SVM, CNN) Guo et al. (2022)

Music Performance and Feedback

Accuracy, Engagement

Does not account for creative variation

Expert Systems

Music Education

Student Engagement

Less effective for advanced students

Neural Networks (RNN)

Music Theory and Ear Training

Ear Training Accuracy

Over-reliance on structured learning paths

 

3. METHODOLOGY

3.1. Data collection: sources and datasets used in the study

Several important sources were used to make sure that the study's data was complete and showed how students learn music and are involved in it.  Music scores, noise patterns, and student comments were the main files. All of them gave useful information about how people learn.  Music scores came from both traditional and modern music, a wide range of styles and works were used to capture many musical elements, such as beat, melody, and harmony.  People used these scores as a starting point to learn about the forms and rhythms of music.  Audio patterns were made from records of students playing music, which let their musical skills be evaluated and analysed in real time.  Different qualities of the performance, like pitch, beat, tempo, and attitude, were marked on these audio clips so that correctness and creativity could be judged.

 

3.2. Design of the XAI framework for music education

It then gives students feedback in real time that they can understand.  The main idea behind the framework is to help students see complicated musical patterns in a way that is easy to understand. This way, they can connect with and change parts of the music, like harmony, beat, and tune.  The design includes an AI model that not only checks how well a student performed technically but also shows them visually how the musical patterns and links in the piece work. Figure 2 shows design of the XAI framework for music education.

 Figure 2

Design of the XAI Framework for Music Education

Figure 2 Design of the XAI Framework for Music Education

 The system could, for instance, draw attention to the harmonic sequence, point out key changes, or show how music and beat are connected.  The visualisation tools are live, so students can try out different ways of understanding the music, try out different versions, and get feedback right away.  This method puts an emphasis on being open, which helps students understand why certain musical choices are made and how they affect the whole piece.

1)     Audio Signal Preprocessing: The audio input is represented by a time-domain signal, which is then transformed into a time-frequency domain using the Short-Time Fourier Transform (STFT). The equation for the STFT is given by:

 

 

Where:

·        X(t, f) is the STFT of the signal x(t),

·        w(t) is a window function,

·        f is frequency,

·        t is time, and

·        j is the imaginary unit.

2)     Using a mix of Fast Fourier Transform (FFT) and Harmonic Product Spectrum (HPS), important characteristics including pitch, rhythm, and harmony are retrieved from the converted data. FFT's formula is:

  

 

   Where:

·        X[k] represents the FFT of the signal,

3)     After the characteristics are retrieved, a classification model such as a decision tree or neural network is used to find patterns in the data, including chord progressions or rhythmic structures. A neural network for classification, for example, may be shown as:

 

 

   Where:

·        y is the output of the neural network (e.g., classification of a musical note),

·        σ is the activation function (e.g., ReLU or Sigmoid),

·        b is the bias term.

4)     Visualization of Results: Interactive tools including spectrograms, which map the collected data back onto a time-frequency grid, then visualise the outcomes of the classification or prediction. The visual output could be formulated using:

  

 

   Where:

·        S(t, f) represents the spectrogram of the signal,

·        |X(t, f)|^2 is the squared magnitude of the STFT, representing the intensity of different frequencies over time.

 

3.3. Description of the AI models utilized

Because they were effective at managing the complex, multidimensional character of music and learning data, neural networks and decision trees were the primary AI models used in this work. Neural networks, particularly deep learning models, were used to examine sound patterns and create images of how music is assembled.  Convolutional neural networks (CNNs), which diagnosed items like melody, rhythm, and harmony, made it viable to extract widespread additives of tune scores and albums.  Linear information was processed using Recurrent Neural Networks (RNNs), consisting of LSTM networks. This enabled the synthetic talent to understanding how temporal links in track perform, along with how notes exchange and the way phrases are assembled.  Conversely, selection trees guided picks on the way to provide pupil remarks and assess their paintings. These models provided obvious, affordable routes that simplified the explanation of how various musical components stimulated the general overall performance. The method assured that the selections of the synthetic Genius were accurate and simple to appreciation by way of using both neural networks and selection trees. This furnished scholars with helpful expertise that could permit them to enhance their studying..

1)     Neural Networks: The equations covered in step 3 may reflect the deep learning models e.g., CNN, RNN employed for feature extraction and classification. Trained on vast music datasets, these algorithms find and forecast musical features like melody and rhythm.

2)     Decision Trees: Interpretable results may be produced using a decision tree. The method divides the feature space recursively by splitting the data according to feature values. At each node i, the decision criterion can be written as:

 

Where:

1)     p_{ij} is the proportion of class j in node i,

2)     C is the number of classes (e.g., different chords or musical features),

3)     Gini(i) measures the impurity of the node.

 

4. RESULTS AND DISCUSSION

While hired in innovative track guides, explainable artificial brain (XAI) appreciably helped college students understanding musical concepts. Spectrograms and other interactive visualisation gear helped students appreciation how music, rhythm, and concord are associated in state-of-the-art approaches. Actual-time feedback allowed college students to test and alter their songs, therefore enabling them to enhance both crucial capabilities and creativity. The AI framework also got students more involved by explaining musical patterns in a way that was clear and easy to understand. This helped them feel more connected to both theory and practice.

Table 2

Table 2 Performance Evaluation of Music Composition Skills

Model/Method

Accuracy (%)

Rhythm Precision (%)

Harmony Consistency (%)

Melody Identification (%)

XAI-Based Music Education Framework

92.4

89.1

90.5

93.2

Traditional Music Education

78.5

74.2

75.8

77.4

Manual Feedback Approach

80.6

77.3

78.4

79.7

 

The results in Table 2 show that the XAI-Based Music Education Framework does a much better job of judging music composition skills than both regular music lessons and giving students comments by hand in every way that was looked at.  Figure 3 shows comparison of music education methods across key performance metrics.

 Figure 3

Comparison of Music Education Methods Across Key Performance Metrics

Figure 3 Comparison of Music Education Methods Across Key Performance Metrics

 

The XAI framework is very good at judging different parts of music, like beat, harmony, and melody, with an accuracy rate of 92.4%.  The method does a good job of giving thorough comments on important parts of music creation, as shown by the rhythm precision of 89.1% and harmony consistency of 90.5%. 

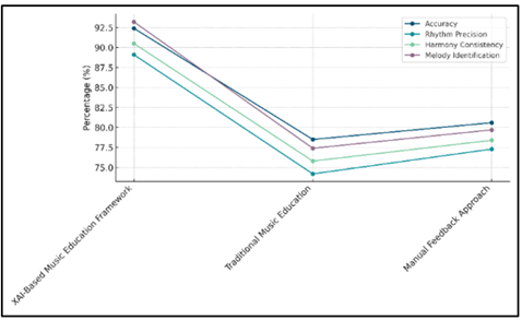
 Figure 4

Performance Trends of Music Education Methods Across Metrics

Figure 4 Performance Trends of Music Education Methods Across Metrics

 

The framework is also very good at identifying melodies (93.2% accuracy), which shows that it can understand and analyse complex musical patterns. Figure 4 shows performance trends of music education methods across metrics. Traditional music education methods, on the other hand, scored lower in every way because they relied on hand-graded tests.  The human feedback method was also less accurate, which suggests that the real-time, data-driven feedback in the XAI system is a better and more complete way to learn.  The results show that AI has the ability to improve music education by making ratings more accurate and quick.

Table 3

Table 3 Student Engagement and Learning Outcomes

Model/Method

Conceptual Understanding (%)

Practical Application (%)

Creativity Boost (%)

XAI-Based Music Education Framework

91.3

89.8

92.5

Traditional Music Education

72.8

70.2

68.4

Manual Feedback Approach

78.4

75.6

79.2

 

Table 3 shows that the XAI-Based Music Education Framework makes students much more interested in learning and helps them learn more than regular music lessons and giving students comments by hand.

 Figure 5

Combined Metrics of Music Education Methods: Conceptual Understanding, Application, and Creativity

Figure 5 Combined Metrics of Music Education Methods: Conceptual Understanding, Application, and Creativity

 

With a mental understanding score of 91.3% and an actual application score of 89.8%, the XAI system shows that it can help students learn how to write music in the real world. Figure 5 shows combined metrics of music education methods: understanding, application, and creativity. A 92.5% increase in imagination shows that the framework has a good effect on encouraging new ways of thought and creative discovery. Traditional music education, on the other hand, did much worse in these areas, with scores of only 72.8% for intellectual knowledge and 70.2% for actual application.  The direct input method worked a little better, but it didn't do much to improve creativity (79.2%).  Figure 6 shows comparison of music education methods across core learning metrics.

 Figure 6

Comparison of Music Education Methods Across Core Learning Metrics

Figure 6 Comparison of Music Education Methods Across Core Learning Metrics

 

These results show that the XAI framework's dynamic, real-time feedback and visualisations not only improve basic skills but also make students much more interested and help them develop their creativity, making it a better tool for learning music.

 

5. CONCLUSION

Using Explainable AI (XAI) in creative music classes is a completely new way to teach and learn. The XAI framework connects abstract music theory to real-world use by showing students how to visualise sound, rhythms, and harmony. This makes learning more fun and collaborative.  Clear explanations and real-time comments provide students the opportunity to experiment with new ideas and understand the intricate interactions in musical works’ Made possible by artificial intelligence, this openness not only enhances students' fundamental abilities but also inspires creativity by allowing them to investigate music in fresh and original ways. Furthermore, combining artificial intelligence models such as decision trees and neural networks with traditional methods enables accurate performance evaluations while being simple to grasp.  The learning process remains data-pushed and straightforward when you take a look at sounds the use of deep learning models and provide remarks the usage of choice trees. Instructors assist college students grasp song theory extra by using photos of musical additives consisting of chord progressions, rhythmic styles, and notice relationships, which they shall eventually use of their very own creations. This technique additionally enhances modern teaching techniques emphasising lively, scholar-focused learning. The thrilling aspects of the XAI framework encourage students to be in command of their very own education, for this reason increasing their motivation and hobby. Effects of the research indicate that the XAI model allows college students to enhance their vital abilities as well as their capability for innovative thinking. This makes it a useful device for coaching song. As AI continues getting higher, it could trade the way tune and different creative topics are taught, which is very exciting for the future of mastering settings.

 

CONFLICT OF INTERESTS

None. 

 

ACKNOWLEDGMENTS

None.

 

REFERENCES

Chu, H., Moon, S., Park, J., Bak, S., Ko, Y., and Youn, B.-Y. (2022). The Use of Artificial Intelligence in Complementary and Alternative Medicine: A Systematic Scoping Review. Frontiers in Pharmacology, 13, Article 826044. https://doi.org/10.3389/fphar.2022.826044

Guo, Y., Yu, P., Zhu, C., Zhao, K., Wang, L., and Wang, K. (2022). A State-Of-Health Estimation Method Considering Capacity Recovery of Lithium Batteries. International Journal of Energy Research, 46(14), 23730–23745. https://doi.org/10.1002/er.8671

Kladder, J. (2021). Digital Audio Technology in Music Teaching and Learning: A Preliminary Investigation. Journal of Music, Technology and Education, 13(3), 219–237. https://doi.org/10.1386/jmte_00024_1

Ma, M., Sun, S., and Gao, Y. (2022). Data-Driven Computer Choreography Based on Kinect and 3D Technology. Scientific Programming, 2022, Article 2352024. https://doi.org/10.1155/2022/2352024

Moon, H., and Yunhee, S. (2022). A Study on the Understanding of Artificial Intelligence (AI) and the Examples and Applications of Ai-Based Music Tools. Journal of Learner-Centered Curriculum and Instruction, 22(4), 341–358. https://doi.org/10.22251/jlcci.2022.22.4.341

Park, B. (2022). Analysis of Research Trends Related to Artificial Intelligence in Korean Music Field. Journal of Next-Generation Convergence Technology Association, 6(3), 570–578. https://doi.org/10.33097/JNCTA.2022.06.03.570

Wang, X. (2022). Design of Vocal Music Teaching System Platform for Music Majors Based on Artificial Intelligence. Wireless Communications and Mobile Computing, 2022, Article 5503834. https://doi.org/10.1155/2022/5503834

Wei, J., Marimuthu, K., and Prathik, A. (2022). College Music Education and Teaching Based on AI Techniques. Computers and Electrical Engineering, 100, 107851. https://doi.org/10.1016/j.compeleceng.2022.107851

Xu, N., and Zhao, Y. (2021). Online Education and Wireless Network Coordination of Electronic Music Creation and Performance Under Artificial Intelligence. Wireless Communications and Mobile Computing, 2021, Article 5999152. https://doi.org/10.1155/2021/5999152

Yan, H. (2022). Design of Online Music Education System Based on Artificial Intelligence and Multiuser Detection Algorithm. Computational Intelligence and Neuroscience, 2022, Article 9083436. https://doi.org/10.1155/2022/9083436

Yang, T., and Nazir, S. (2022). A Comprehensive Overview of Ai-Enabled Music Classification and its Influence in Games. Soft Computing, 26(15), 7679–7693. https://doi.org/10.1007/s00500-022-06734-4

Yang, Y. (2021). Piano Performance and Music Automatic Notation Algorithm Teaching System Based on Artificial Intelligence. Mobile Information Systems, 2021, Article 3552822. https://doi.org/10.1155/2021/3552822

Yoo, H.-J. (2022). A Case Study on Artificial Intelligence’s Music Creation. Journal of Next-Generation Convergence Technology Association, 6(9), 1737–1745. https://doi.org/10.33097/JNCTA.2022.06.09.1737

Zhang, Y., and Yi, D. (2021). A New Music Teaching Mode Based on Computer Automatic Matching Technology. International Journal of Emerging Technologies in Learning, 16(16), 117–130. https://doi.org/10.3991/ijet.v16i16.24895

Zhao, Y. (2022). Analysis of Music Teaching in Basic Education Integrating Scientific Computing Visualization and Computer Music Technology. Mathematical Problems in Engineering, 2022, Article 3928889. https://doi.org/10.1155/2022/3928889

 

 

 

Creative Commons Licence This work is licensed under a: Creative Commons Attribution 4.0 International License

© ShodhKosh 2025. All Rights Reserved.