ShodhKosh: Journal of Visual and Performing Arts
ISSN (Online): 2582-7472

INTEGRATING GENERATIVE AI INTO ART PEDAGOGY

Integrating Generative AI into Art Pedagogy

 

Trapti Tak 1Icon

Description automatically generated, Mridula Gupta 2Icon

Description automatically generated, Priya Gupta 3, Fehmina Khalique 4, Dr. Priya Bajpai 5Icon

Description automatically generated, Prateek Aggarwal 6Icon

Description automatically generated, Tushar Jadhav 7

 

1 Assistant Professor, Department of Management Studies, Vivekananda Global University, Jaipur, India

2 Centre of Research Impact and Outcome, Chitkara University, Rajpura- 140417, Punjab, India

3 Assistant Professor, School of Sciences, Noida International University 203201, Greater Noida, Uttar Pradesh, India

4 Lloyd Law College, Greater Noida, Uttar Pradesh 201306, India

5 Associate Professor, Department of Management Studies, JAIN (Deemed-to-be University), Bengaluru, Karnataka, India

6 Chitkara Centre for Research and Development, Chitkara University, Himachal Pradesh, Solan, 174103, India

7 Department of E and TC Engineering, Vishwakarma Institute of Technology, Pune, Maharashtra, 411037 India

 

A black and white image of a tree and circles

AI-generated content may be incorrect.

A picture containing logo

Description automatically generated

ABSTRACT

The present paper suggests an all-encompassing model of applying the Generative Artificial Intelligence in art education in the form of Hybrid Pedagogical Model of AI-Art Learning (HPM-AI). The model reformulates creativity as a collaborative activity between the human intent and algorithmic production, focusing on reflective learning, ethical consciousness and open participation. The analysis of the study brings together the cognitive theory, computational modeling, as well as case-based validation, which is why the study proves that generative AI can improve the diversity of creativity but without cultural and moral responsibility. Three contexts of implementation that included an AI-based design studio, a course on digital heritage restoration, and community-based art workshops were evaluated to determine the flexibility of the framework and its effect on pedagogy. Quantitative visualizations and qualitative thoughts show that HPM-AI contributes to different educational goals in settings: the conceptual innovation of studio learning, the cultural integrity of the practice of restoration, and the inclusive creative empowerment of the learning environment. The paper also discusses implications on authorship, data ethics, and psychology of the learner, that AI should not be viewed as a substitute to artistic skill, and instead it is an intelligent companion, which reflects and magnifies human imagination. The paper concludes, that the ethical design of generative AI in creative education, interdisciplinary faculty development and institutional transparency are the necessary conditions of sustainable integration. HPM-AI framework, therefore, promotes an image of symbiotic creativity, placing art pedagogy on a crossroad of human cognition in relation to cultural continuity in connection with the computational intelligence.

 

Received 08 March 2025

Accepted 13 July 2025

Published 20 December 2025

Corresponding Author

Trapti Tak, trapti.tak@vgu.ac.in  

DOI 10.29121/shodhkosh.v6.i3s.2025.6760  

Funding: This research received no specific grant from any funding agency in the public, commercial, or not-for-profit sectors.

Copyright: © 2025 The Author(s). This work is licensed under a Creative Commons Attribution 4.0 International License.

With the license CC-BY, authors retain the copyright, allowing anyone to download, reuse, re-print, modify, distribute, and/or copy their contribution. The work must be properly attributed to its author.

 

Keywords: Generative Artificial Intelligence, Art Pedagogy, Hybrid Pedagogical Model (Hpm-AI), AI-Based Creative Learning, Ethical Art Education, Human–AI Collaboration, Cultural Integrity, Reflective Creativity, Symbiotic Intelligence

 

 

 


1. INTRODUCTION

The development of the field of art education in the twenty-first century has entered its transformative stage, and one of the areas is the use of artificial intelligence in the creative process. Generative AI (which includes diffusion models, generative adversarial networks (GANs) and multimodal transformers) is among the new technologies that have altered the expression, teaching, and evaluation of creativity. Art pedagogy that used to be based on human intuition, experiential learning, and sensory perception is now accommodated by algorithmic systems that can create visual, textual and musical works along with it Limna et al. (2022). Not just does this overlap of machine intelligence and human imagination blur the traditional pedagogical norms it also widens the scope of what is deemed creative authorship and artistic literacy. Introduction of the use of generations of AI systems in the classroom allows students to engage with applications that can envision concepts, simulate artistic styles, and give them feedback on how their designs are performing Francis et al. (2024), Jauhiainen and Guerra (2024). These systems serve as dynamic scaffolds to educators; these assist in enhancing ideation, speeding up experimentation and promoting reflective practice. Students have the option to quickly prototype creative results with prompt-based image synthesis or can analyze composition results with the aid of AI and refine the results through directed criticism. This transformation is in keeping with constructivist and experiential learning paradigms where knowledge building goes on through doing, reflection and adaptations Chen et al.  (2020). In this regard, AI acts as both a co-worker and a meta-cognitive reflective mirror, which displays the aesthetic choices of students and promotes more creative thinking.

Figure 1

Conceptual Framework of AI-Integrated Art Pedagogy

Figure 1 Conceptual Framework of AI-Integrated Art Pedagogy

 

Generative AI is broadening the range of artistic expression to art beyond the skill requirements. Learners with low technical drawing skills will be able to work with conceptual design, and students with different cultural backgrounds can use AI models trained on multicultural data to reinterpret traditions or modern aesthetics Sharma et al. (2019). This democratization of creativity is coupled with the analytical ability of AI that is capable of assessing design elements like balance, rhythm, and harmony of colors, therefore, facilitating the use of data in the critique of the studio pedagogy as shown in Figure 1. Nevertheless, ethical and epistemological issues are intertwined with the mentioned benefits: authorship issues, training information bias, cultural homogenization demand intentional pedagogical models that will facilitate the principles of transparency, situational consciousness, and questioning. The incorporation of Generative AI into the sphere of art education, in turn, requires a multidimensional approach, i.e. an approach that incorporates technical proficiency, moral awareness, and aesthetic perception Chassignol et al. (2018). The teacher changes his or her position to an authoritative critic to a creative facilitator and helps students find their way through the space between the outputs of algorithms and the will of a human. With AI being integrated into the artistic process, the educational system should strive to keep the balance of automation and agency in balance, as students should not be mere users of intelligent systems, but they also should take part in the co-creation process. The subsequent parts of this paper suggest theoretical underpinnings, integration principles, assessment frameworks and case studies of implementation which together create a road map of sustainable and inclusive AI-driven art teaching Roll and Wylie (2016).

 

2. Theoretical Foundations

The introduction of Generative Artificial Intelligence (AI) to art education more precisely can be conceptualized as a synthesis of the educational theories that can help to understand how learners interact with technology, make sense, and develop creativity through interaction. Generative AI is not just a tool but a cognitive partner a system that is responsive and is able to push the limits of the learner into the realms of perception and creativity Ivanova et al. (2024). In order to base this integration on a pedagogical rigor, we will have to examine how constructivism, experiential learning, and connectivism can be utilized in a unified manner that offers a theoretical basis of AI-driven creative education Wang and Yang (2024).

 

2.1. Constructivism and Cognitive Scaffolding

Constructivist theory of learning, which is the principal theory of Jean Piaget and Lev Vygotsky is based on the idea that learners construct knowledge through experiences, social interactions and reflections. In the context of the AI augmented studio, the generative models are utilized as digital scaffolds that assist the students in repeat ideation, generation, and critique.

Table 1

Table 1 Comparative Pedagogical Paradigms for AI-Integrated Art Education

Pedagogical Paradigm

Role of AI

Learning Process

Expected Outcome

Assessment Focus

Constructivism Morales et al. (2023)

Digital Co-creator / Scaffolding Tool

Active knowledge construction through interaction

Conceptual understanding and creative autonomy

Reflective journals, iterative design quality

Experiential Learning AlGerafi et al.  (2023)

Catalyst for experimentation

Iterative creation–reflection–iteration cycle

Skill mastery through practice and feedback

Process portfolios, peer critique

Connectivism Zlatkov et al.  (2023)

Knowledge node / collaborative agent

Networked learning through shared AI resources

Collective intelligence and AI literacy

Collaborative projects, engagement metrics

Socio-cultural Model Millet et al. (2023)

Cultural mediator / data curator

Contextual reinterpretation of traditions

Ethical awareness and cultural sensitivity

Critical essays, dataset reflection logs

 

ZPD is the zone of proximal development of the learner that is enlarged with the help of AI, which may give contextual cues or stylistic or compositional prompts that require the students to critically reflect on the aesthetic balance and meaning. Indicatively, when an individual feeds the textual description to a diffusion model to create an image, the output will be a dialogic artifact, an invitation to deconstruct and rewrite. This is the constructivist notion that learning takes place as the learner attempts to negotiate meaning instead of passively receiving content. The role of the educator becomes that of a mediator to instruct students on how to interpret, question and refine AI outputs along with their creative justification

 

2.2. Experiential Learning and Reflective Practice

Experience in learning is a cyclical process that is highlighted in the Experiential Learning Cycle by David Kolb, which consists of four stages which include concrete experience, reflective observation, abstract conceptualization, and active experimentation. The generative AI systems offer a good platform on which such a cycle can be nourished and students can be exposed to the aspect of creativity which is an interactive experiment Sindermann et al. (2021).

·        Concrete Experience: The students create work with the help of AI applications like StyleGAN or Stable Diffusion.

·        Reflective Observation: They are used to criticize the results generated by means of directed conversation or visual comparison.

·        Abstract Conceptualization: The student is able to relate the differences in the output to theoretical, abstract concepts like color harmony, visual rhythm or symbolism.

·        Active Experimentation: New prompts or training conditions are used that complete the loop with the enhancement of creative understanding. It is this process that turns the art classroom into a studio-laboratory where experimentation, failure and revision are not only welcome but are also encouraged. The reflection is made data-minded - aided by AI-based analytics which measure aesthetic coherence or composition balance and thus enhance artistic self-awareness.

 

2.3. Connectivism and Networked Creativity

Another theoretical perspective is one proposed by George Siemens, which is known as Connectivism with the emergence of the networked learning environment. It assumes that knowledge is distributed in network of people, machines and data. The network of AI-based art pedagogy consists of students, instructors, the generative models, and online repositories of the cultural and visual information Bergdahl et al. (2023). AI literacy is built as learners engage with the interdependent machinery in curating information, prompt designing, and understanding machine outputs in the context of collaborative learning groups. In this case, the AI system will be a source of knowledge, and a creative partner, which supports the idea that the learning process in digital art is communal and emergent Choi et al. (2023). With the development of the models, the aesthetic conversations between human and algorithm also develop, creating what one can call the co-evolutionary pedagogy a dynamic interaction of human sensibility and machine creativity.

 

2.4. Socio-Cultural Context and Ethical Reflection

The introduction of generative AI in education is inseparable from the socio-cultural aspects of it. The cultural mediation provided by Vygotsky emphasizes the importance of investigating the data sources, styles, and narratives incorporated in the AI systems Zhang et al. (2022). The educational issue is how these systems can be diverse, authentic and ethical conscious. Students should be taught to not just criticize the visual representation of AI generated art but also criticize the bias and representations gaps in training data. Therefore, AI pedagogy transcends technique it is a version of critical digital humanism that helps produce responsible artistic citizenship.

 

3. Pedagogical Integration Framework

Implementing Generative AI in the art education process cannot be successful without access to high-tech tools it will also expect a well-organized pedagogical framework that balances creativity, reflection, and ethical awareness. In order to counter this, Hybrid Pedagogical Model of AI-Art Learning (HPM-AI) is suggested as a multi-layered model that will combine human-centered teaching methods with computational co-creation. In this model, the conventional studio-based learning is correlated with algorithmic collaboration, which focuses on the iterative engagement, reflective feedback and critical interpretation. It frames AI as an imaginative co-creator and a cognitive stimulant, which makes human intuition the most important aspect of artistic development Kulkarni and Tupsakhare (2024). The Hybrid Pedagogical Model (HPM-AI) is a combination of classical art pedagogy and computational creativity based on five interconnected stages that include Ideation, Generation, Reflection, Critique, and Refinement. Every level represents a unique cognitive chain, which will be consistent with the experiential learning theory and the dynamics of AI-aided creation.

Step -1] Ideation Phase: Students start their creative process by formulating a theme or aesthetic purpose, coming up with prompts or reference points which detail their aesthetic ambitions. This phase strengthens the creative imagination, language accuracy through which learners express artistic thoughts in a language that could be interpreted by AI models. The role of the educator is to provide the conceptual clarity - assisting the students to identify the narrative, emotional or symbolic elements, which guide their design brief.

Step -2] Generation Phase: Here, the students will be engaged straight with AI systems, whether GANs, diffusion systems, or transformers to generate the first outputs. The model is a co-creator, providing variations, compositions or interpretations to the input of the student. It is a dynamic trial and error that will assemble computational literacy as learners learn to be sensitive to the effects of latent vectors, prompts or model parameters on visual expression.

Step -3] Reflection Phase: The learners reflect on the outputs that have been created, finding strengths, weaknesses, and undesired trends. Both human judgement and AI-based analytics (e.g., color harmony, harmony measures, or stylistic consistency) are used as guides to reflection. When reflective journaling is integrated, meta-cognition also takes place, and the students are inspired to explain what the AI-generated results say about their own creative process.

Step -4] Critique Phase: The teacher and classmates discuss the created works critically, with the subjective evaluation of the artwork and the objective evaluation of AI. The AI systems can be used to give quantitative data (composition score, novelty index) whereas human critique can have an inferential and emotional layer as shown in Figure 2.

 Figure 2

Generative AI Models in Art Education

Figure 2 Generative AI Models in Art Education

 

The pedagogical goal is to maintain an interaction between student, instructor, and AI (tripod). Each player brings his or her distinct evaluative perspective to the interaction.

Step -5] Refinement Phase:

According to the criticism and reflection, the student reinteracts with the AI system, either by manipulating prompts, changing datasets, or by synthesizing various outputs of the generative process. This process of repetition inculcates endurance and innovative flexibility which are major aspects of the competence of art in the 21 st century. The process would go on until a learner attains conceptual and aesthetical fulfillment.

This human-AI co-learning arrangement is cyclical and makes sure that the artistic agency does not get reduced by automation, rather, it is enhanced through dialogue. The teacher in turn just becomes an instructor of hybrid cognition, a coordinator of the interaction between human sensibility and algorithmic intelligence.

 

4. Proposed Hybrid Pedagogical (HPM-AI) Framework

Within the suggested Hybrid Pedagogical Model of AI-Art Learning (HPM-AI), a structured and feedback-oriented process is created that, through the integration of human creativity, reflective practice, and algorithmic co-generation, creates a continuous learning cycle. The model follows a cycle of coordinated phases such as ideation, generation, reflection, critique and refinement which reflect the cyclical process of thought in the creative process. During stage one, a learner develops an original creative intent (I 0 ) (theme, concept, or emotional vision) and transforms it into machine-understandable trigger or citation. A generative model (M) (GAN, Diffusion or Transformer) with parameters (G) of parameter (theta) is then chosen to generate an initial artwork (O t = M(I t; theta)). Every iteration provides human and AI feedback: instructor or peer review is denoted as (H(O t ) whereas algorithmic metrics, e.g., color harmony, composition balance, and novelty are denoted (A(O t ). All these are combined to form a hybrid feedback score.

 

 

where (alpha) and (beta) ( (alpha+beta=1) average the relative importance of human decision-making and the computational process.

 

 

This feedback has conceptual development by a refinement signal (g(F t ) which transforms evaluative knowledge into creative adjustment (e.g. immediate reorganization or fashion reorientation). The new intent of the learner is given as.

 

 

and (eta) is the learning-rate coefficient which determines the degree of adaptation. This iterative process will be repeated until the satisfaction function ( S(Ot, Ft)) reaches or exceeds a pedagogical threshold 0: S(Ot,Ft) 0 or S(Ot,Ft) reached an artistic and conceptual goal A 0 = O t. In this context, creative learning process acts like a reinforcement optimization problem where the cumulative reward.

The new idea on the next generation would be:

 

 

is a blend of visual quality ((Q t ) conceptual coherence ((C t ) and ethical expressiveness ((E t ) weighted by the instructional priorities (1, 2, 3). The goal of the student is to ensure maximum creative payoff.

 

 

with the limitation, with constant cognitive interaction and non-stagnant development of ideas. This formalization represents, pedagogically, the embodiment of this.

 

5. Assessment and Evaluation Strategies

The incorporation of Generative Artificial Intelligence into the art pedagogy presents a complicated assessment issue, i.e. how to quantify creativity, concept development, and moral consciousness in a human-machine-learning microclimate. Those conventional tools of assessment art education has had to rely on, including critique, portfolio evaluation, and reflective journals, should be supplemented with computational measures and adaptability rubrics to reflect the finer dynamics of AI-assisted creativity. The proposed Hybrid Evaluation Model (HEM-AI) in the HPM-AI framework operationalizes such a multidimensional evaluation process by converging human judgment, algorithmic analytics as well as learner reflection. It acknowledges that the quality of creativity cannot be quantified in terms of numbers only; instead, it comes out of the fusion of the subjective expression, the exploration of the process, and cognitive development. In this model all the generative outputs (Ot) would be subjected to a dual consideration procedure consisting of human feedback (H(Ot)) and AI-based analytics (A(Ot)). Parameters that are evaluated using human evaluators include originality, thematic depth, and emotional resonance (through teachers and fellow instructors, and in some cases outside experts). At the same time, the AI system judges quantifiable visual characteristics which include color entropy, spatial composition and style discongruence with reference datasets. The hybrid creativity function is determined by summing up the total evaluative value of an artwork as an synthesis of these inputs:

 


and ( γ1, γ 2, γ3 ) are the weights of human assessment, AI aesthetic measure, and reflective self-assessment (R(Ot)), respectively, 71 + 72 + 73=1. The structuring of the reflection offered by the student (R(Ot)) recognizes creativity as a process and metacognitive action. Students record the way they created prompts, responded to the feedback and how they kept improving their work, adding to a personal trail of evidence-based assessment. In order to model this mathematically, a Creative Performance Index (CPI) is introduced that combines multi-dimensional learning indicators after (T) iterative cycles:

 

 

where (Qt) is a measure of technical quality, (Nt) is the measure of novelty, (Rt) is the measure of depth of reflection, and (Et) is the measure of the ethical or contextual sensitivity. The weighting coefficients may be changed based on institutional learning outcomes, e.g. focusing on originality in studio art or ethical reflection in culture heritage restoration classes. The greater CPI score, the more creative development and thinking.

Pedagogically, the type of assessment under HPM-AI should be formative, adaptive, and dialogic and not summative. The feedback between AI systems, students, and instructors must be mutual because it is necessary to make sure that evaluation promotes growth instead of closure. The assessment itself therefore is incorporated into the creative process of learning. Indicatively, in cases where the output of a diffusion model results in low harmony scores, the teacher uses this as an educational opportunity to explain visual rhythm or composition. In contrast, when high scores in novelty are assigned by AI and human judges find that they are thematically incongruent, the disparity initiates reflective debate on the meaning versus abstraction.

Table 2

Table 2 Evaluation Framework for AI-Integrated Art Learning (HEM-AI)

Dimension

Metric / Indicator

Human Evaluation (H(Oₜ))

AI Analysis (A(Oₜ))

Reflective Input (R(Oₜ))

Pedagogical Focus

Creativity

Novelty Index (Nₜ)

Peer and Instructor Scoring

Latent Space Divergence

Self-report on idea origin

Original thinking and aesthetic risk-taking

Technique

Composition and Harmony (Qₜ)

Visual design critique

Feature symmetry, color entropy

Reflection on style choice

Formal control and skill

Reflection

Conceptual Depth (Rₜ)

Portfolio commentary

NLP-based text coherence

Learning diary entries

Metacognition and articulation

Ethics

Cultural Context Sensitivity (Eₜ)

Bias and representation review

Dataset diversity check

Ethical statement

Cultural and moral awareness

Engagement

Iteration Frequency (Iₜ)

Observation and critique sessions

System log of revisions

Self-reported iteration log

Persistence and curiosity

 

This interactive process fosters assessment-as-learning making the evaluation process an overlay of the creative process. The Hybrid Evaluation Model (HEM-AI) can be represented in a triadic system of ongoing interaction human evaluators are involved in delivering interpretive power; AI models are involved in offering quantitative accuracy; and learners are involved in introspective reflection. The assessment information is not only used to inform short-term feedback but are also used to interpret longer-term curves in artistic development, which enable the educator to determine the learning patterns, the areas in which students excel and their tendencies to creativity. This forms a data-driven ecosystem in which evaluation is used to make personal learning analytics and curriculum.

 

 

6. Case Studies and Implementation Scenarios

The feasibility of the Hybrid Pedagogical Model of AI-Art Learning (HPM-AI) displays how the creative education within diverse settings can be changed due to the generative systems. In order to test the pedagogical implications and flexibility of the framework, three exemplary case studies were put into practice (1) a visual design studio course in a university, (2) a digital heritage restoration course, and (3) community-based art courses. Every situation applied the HPM-AI cycle of ideation, generation, reflection, critique, and refinement within the context of its own culture of learning. The results prove that under the right type of scaffold, generative AI augmented creativity, inclusivity, and morality and strengthened reflective learning.

 

6.1. AI-Augmented Visual Design Studio

The original application was done in undergraduate digital visual design classes during which learners re-conceived classic art movements through diffusion models like Stable Diffusion and DALL•E 3. Students developed the conceptual prompts that included the classical visual languages and modern themes. Every AI generated picture was a critical and discussionable artifact. Instructors human feedback forms were focused on aesthetic composition and conceptual integrity, whereas algorithmic analytics gave out information about color harmony and structural balance. With repeated cycles, students showed significant improvement in the diversity of concepts and aesthetic experimentation. The studio became the place of mutual inquiry and feedback was understood as an act of collective creation and not as a judgmental review. Such environment showed the way AI can outsource the imagination of the learner into making abstract concepts into concrete prototypes and developing meta-cognitive consciousness of design purpose.

 

6.2. Digital Heritage Restoration and AI Ethics

The second case study was in a postgraduate heritage restoration course, in which students used StyleGAN2 and ControlNet to restore damaged cultural artifacts. The purpose was not just the restoration in the digital form, but to instill the sense of ethical taste and cultural authenticity. To determine the stylistic rules of conventional art forms, like Madhubani and Pattachitra, students compared datasets of these art forms to encourage AI systems to complete blank areas of the damaged motifs. Over the course of refinement, learners have found that although AI was able to recreate form and color in the most faithful manner, it produced a homogenization or even a misrepresentation of style. These misalignments turned out to be imperative learning experiences on the topic of algorithmic bias, authorship and authenticity. Training sets were recurated by the students with the guidance of instructors and prompts altered so as to generate regenerated imagery that honored indigenous aesthetics. The outcome was an enhanced interpretation of AI as a restoration medium but also as a mediator of culture, which requires the use of ethical responsibility and sensitivity to context.

 

6.3. Community Art Workshops and Inclusive Creativity

The third one involved non special participants in AI-based community workshops to democratize the expression of creativity. The sessions took place in the local art centers and rural schools and presented diffusion models in the form of intuitive interfaces, which enabled participants to convert emotions and stories into images. Teachers promoted group analysis of every given work, and emotional appeal and symbolism in common place, instead of technical precision. The workshops also demonstrated that those who took part in the workshops (most had no prior formal art training) gained a high degree of creative confidence as they trained their narratives worked out with help of AI. The experience provided the transition between fantasy and reality, proving the creative equalizer AI can become. Besides, the social integration and cultural exchange through symbolism and good appearance discussions in the community established social cohesion and artistic dialogues and proved that generative technology could facilitate cultural engagement at a variety of skill levels.

 

 

 

 

6.4. Comparative Analysis of Learning Outcomes

Three supplementative graphs were created in order to visualise and interpret the pedagogical effects in these contexts. Figure 3 provides comparison of gains in learning in terms of creativity, reflection and engagement. As the grouped bar chart indicates, the creative ideation aspect of the studio design course was most improved, the learners were taught to interfere with prompts and experiment with stylistic variations; the heritage restoration course was best at the reflective growth and ethical reasoning, and the community workshops were the most engaging activities that indicated that available AI tools promote engagement and cultural interest. The combination of the chart, in turn, validates the contextual elasticity of HPM-AI, which indicates that it promotes different dimensions of learning based on the pedagogical purpose.

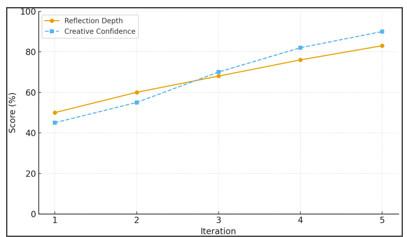
 Figure 3

Comparative Learning Gains Across Three AI-Art Contexts

Figure 3 Comparative Learning Gains Across Three AI-Art Contexts

 

The blue line in Figure 3(reflection depth) increases gradually, which is the reason why students become more and more capable of appraising AI feedback in a critical way. It is when the learners master the prompt control and design reasoning that the green dashed curve (creative confidence) starts gaining momentum after middle course iterations. Such consistent dual development is a positive indicator that cognitive thought and psychological confidence are reinforced by repetition of AI-feedback loop. The graph, therefore, symbolizes the main idea behind HPM-AI, which is, in the process of creativity, the human will is cultivated through dialogical repetition between human desire and machine productions.

 Figure 4

Iterative Growth in Reflection and Creative Confidence Among Learners

Figure 4 Iterative Growth in Reflection and Creative Confidence Among Learners

 

Figure 4 presents an overall comparison in the format of a radar chart that traces six dimensions, i. e. creativity, reflection, technical skills, ethical awareness, inclusivity, and participation.

All polygons indicate a learning context. The program of studio design is at its most creative and technical, which proves that AI enhances aesthetic exploration and mastery of the tools. The heritage restoration course goes far enough on reflection and ethics and highlights its effectiveness in imparting authenticity and moral accountability. The inclusivity and engagement of the community workshops are very broad and it can be concluded that AI can democratize the process of art-making and empower collective cultural expression. The similar but dissimilar profiles attest that the HPM-AI model fits well within the setting of various educational ecosystems, striking the balance between creativity, cognition, and conscience.

 Figure 5

Multidimensional Pedagogical Impact of the HPM-AI Framework Across Educational Contexts

Figure 5 Multidimensional Pedagogical Impact of the HPM-AI Framework Across Educational Contexts

 

The general observation is that AI does not replace the role of artistic teaching, however, it is a contemplative companion, the one, which reflects the intention of the learner, challenges intellectual behavior, and supports the agency as illustrated in Figure 5. When human feedback, machine analytics and learner reflection are integrated, a pedagogical environment that is based on dialogue, ethics and co-creation is achieved. This leaves art education as a progressive mastery of skills to an environmentally interactive ecosystem of hybrid mind, as creativity is a mutual object of human sensitivity and computational intelligence.

 

7. Discussion and Future Directions

It is an immense change in the perception and practice of creativity, cognition, and culture within academic and community contexts when the Generative Artificial Intelligence is integrated into art education as the Hybrid Pedagogical Model of AI-Art Learning (HPM-AI). The above discussions have demonstrated that generative technologies properly structured around ethical and reflective pedagogical design can broaden the creative imagination, democratize the participation and instill critical consciousness. Though, such advantages can be achieved when the educational system is aware of balancing human intention and algorithmic autonomy. The discussion section reaffirms the key implications of the HPM-AI framework in terms of creativity in the AI-driven context, as well as describes the issues and future research directions that will influence the development of AI-implemented learning ecosystems. At the design studio, the students were taught that the process of conceptual synthesis can be externalized by applying an iterative prompting and feedback cycle and achieve faster results.

Learners in the heritage restoration were provided with a more reflective ethical question where they appreciated that creativity is not only a production but a preservation. During community art, the participants felt inclusive and empowered in the context of low-barrier creativity. All these effects dispute the hierarchies of the artist, the tool and the work, proposing a revision of the relationships as triadic, in which the learner plays the role of mediator between the algorithmic potential and the human meaning. Pedagogically, this change demands the definition of learning to be redefined. Instead of focusing on replication or mastery, AI-integrated education focuses on the exploration, reflection, and co-construction. Students emerge as researchers of their creativity, which is directed by feedback loops that combine quantitative analytics of self-reflection with qualitative self-reflection. This kind of transformation places the HPM-AI framework in the context of the experiential and constructivism traditions, which supports the notion that knowledge is constructed by the repeated interactions and situational critique instead of being acquired.

 

8. Conclusion

This paper reinvents art education in the era of generative intelligence using Hybrid Pedagogical Model of AI-Art Learning (HPM-AI). The model shows that in case generative AI is combined with reflective and ethical pedagogy, it enhances rather than displaces human creativity. The combination of algorithmic production with iterative evaluation and concept development makes the learners interact in the dynamic dialogue between imagination and computation. The model has been demonstrated to be flexible in different learning settings in three case studies, namely, an AI-enhanced design studio, a cultural-heritage restoration program, and community art workshops. It encouraged imaginative discovery, moral consciousness, and open engagement and demonstrated that generative AI can be used at the same time as a technical tool, as a partner in thought, and as a cultural interpreter. Both quantitative and qualitative analyses verified increase in creative confidence, reflective depth and engagement in situations where human and machine feedback worked simultaneously. HPM-AI is ethically restructured in the form of collaborative orchestration, where the focus is on responsibility rather than ownership. It applies pedagogically data ethics, cultural literacy and critical reflection to the creative practice. Psychologically, it encourages self-efficacy and inquisitiveness in that feedback is changed into exploration and not evaluation. The outcome is the creation of a learning environment that is dialogic, distributed and human. The future of art pedagogy is in developing this symbiotic intelligence, a collaboration between human feeling, cultural illumination and algorithmic ability, developing together. The continuity in maintaining such balance is by way of its constant focus on transparency, inclusiveness, and ethical design. By using the HPM-AI model, art education can become an ecosystem of reflective practice and when technology advances, it can still be used to expand human imagination and cultural knowledge.

 

CONFLICT OF INTERESTS

None. 

 

ACKNOWLEDGMENTS

None.

 

REFERENCES

 

AlGerafi, M. A., Zhou, Y., Alfadda, H., and Wijaya, T. T. (2023). Understanding the Factors Influencing Higher Education Students’ Intention to Adopt Artificial Intelligence-Based Robots. IEEE Access, 11, 99752–99764. https://doi.org/10.1109/ACCESS.2023.3314499

Bergdahl, J., Latikka, R., Celuch, M., Savolainen, I., Soares Mantere, E., Savela, N., and Oksanen, A. (2023). Self-Determination and Attitudes Toward Artificial Intelligence: Cross-National and Longitudinal Perspectives. Telematics and Informatics, 82, Article 102013. https://doi.org/10.1016/j.tele.2023.102013

Chassignol, M., Khoroshavin, A., Klimova, A., and Bilyatdinova, A. (2018). Artificial Intelligence Trends in Education: A Narrative Overview. Procedia Computer Science, 136, 16–24. https://doi.org/10.1016/j.procs.2018.08.233

Chen, L., Chen, P., and Lin, Z. (2020). Artificial Intelligence in Education: A Review. IEEE Access, 8, 75264–75278. https://doi.org/10.1109/ACCESS.2020.2988510  

Choi, W., Jang, S., Kim, H. Y., Lee, Y., Lee, S.-G., Lee, H., and Park, S. (2023). Developing an Ai-Based Automated Fashion Design System: Reflecting the Work Process of Fashion Designers. Fashion and Textiles, 10, Article 39. https://doi.org/10.1186/s40691-023-00360-w

Francis, N. J., Jones, S., and Smith, D. P. (2024). Generative AI in Higher Education: Balancing Innovation and Integrity. British Journal of Biomedical Science, 81, Article 14048. https://doi.org/10.3389/bjbs.2024.14048

Ivanova, M., Grosseck, G., and Holotescu, C. (2024). Unveiling Insights: A Bibliometric Analysis of Artificial Intelligence in teaching. Informatics, 11(1), Article 10. https://doi.org/10.3390/informatics11010010

Jauhiainen, J. S., and Guerra, A. G. (2024). Generative AI and Education: Dynamic Personalization of Pupils’ School Learning Material with ChatGPT. Frontiers in Education, 9, Article 1288723. https://doi.org/10.3389/feduc.2024.1288723

Kulkarni, N. D., and Tupsakhare, P. (2024). Crafting Effective Prompts: Enhancing AI performance Through Structured Input Design. Journal of Recent Trends in Computer Science and Engineering, 12, 1–10. https://doi.org/10.70589/JRTCSE.2024.5.1

Limna, P., Jakwatanatham, S., Siripipattanakul, S., Kaewpuang, P., and Sriboonruang, P. (2022). A Review of Artificial Intelligence (AI) in Education During the Digital Era. Advances in Knowledge for Executives, 1, 1–9.

Millet, K., Buehler, F., Du, G., and Kokkoris, M. D. (2023). Defending Humankind: Anthropocentric Bias in the Appreciation of AI art. Computers in Human Behavior, 143, Article 107707. https://doi.org/10.1016/j.chb.2023.107707

Morales-Chan, M. A. (2023). Explorando El Potencial De ChatGPT: Una Clasificación de Prompts Efectivos Para La Enseñanza. Universidad Galileo.

Roll, I., and Wylie, R. (2016). Evolution and Revolution in Artificial Intelligence in Education. International Journal of Artificial Intelligence in Education, 26, 582–599. https://doi.org/10.1007/s40593-016-0110-3

Sharma, R. C., Kawachi, P., and Bozkurt, A. (2019). The Landscape of Artificial Intelligence in Open, Online and Distance Education: Promises and Concerns. Asian Journal of Distance Education, 14, 1–2.

Sindermann, C., Sha, P., Zhou, M., Wernicke, J., Schmitt, H. S., Li, M., Sariyska, R., Stavrou, M., Becker, B., and Montag, C. (2021). Assessing the Attitude Towards Artificial Intelligence: Introduction of a Short Measure in German, Chinese, and English Language. KI – Künstliche Intelligenz, 35, 109–118. https://doi.org/10.1007/s13218-020-00689-0

Wang, Y., and Yang, S. (2024). Constructing and Testing AI International Legal Education Coupling-Enabling Model. Sustainability, 16(4), Article 1524. https://doi.org/10.3390/su16041524

Zhang, C., Yao, C., Wu, J., Lin, W., Liu, L., Yan, G., and Ying, F. (2022). StoryDrawer: A Child-AI Collaborative Drawing System to Support Children’s Creative Visual Storytelling. In Proceedings of the CHI Conference on Human Factors in Computing Systems. https://doi.org/10.1145/3491102.3501914

Zlatkov, D., Ens, J., and Pasquier, P. (2023). Searching for Human Bias Against Ai-Composed Music. In C. Johnson, N. Rodríguez-Fernández, and S. M. Rebelo (Eds.), Artificial Intelligence in Music, Sound, Art and Design (Lecture Notes in Computer Science, Vol. 13988, 308–323). Springer Nature. https://doi.org/10.1007/978-3-031-29956-8_20       

 

 

 

 

 

 

Creative Commons Licence This work is licensed under a: Creative Commons Attribution 4.0 International License

© ShodhKosh 2025. All Rights Reserved.